编者按:
本专栏自2001年第5期起,连续刊出了20篇“怎样看电路图”专题文章。这组文章结合实际制作,详细介绍了各类电路的基本原理和分析方法,内容丰富,通俗易懂,深受读者欢迎。现发表《怎样看电路图综述》一文,作为对这组专题文章的回顾和小结。)
看懂电路图是电子制作或修理的前提,是无线电和电子技术爱好者必须掌握的基本功。前面我们通过20个各具代表性的具体实例,向初学者介绍了各种类型电路图的基本原理和分析方法,内容涉及电源电路、放大电路、振荡电路、调制解调电路、编译码电路、显示电路、脉冲和数字电路、控制和遥控电路等。下面在综合回顾的基础上,进一步系统地阐述怎样看电路图,以期帮助大家更快更好地掌握看图识图的技能,提高分析电路图的能力。
一、 看懂电路图需要准备的基础知识
电路图是由若干元器件符号按一定规律组合而成的,它反映的是电子电气设备中各元器件的电气连接情况,掌握各种元器件的性能特点和画图规则,是看懂电路图的基础。
1. 常用元器件的特点与作用
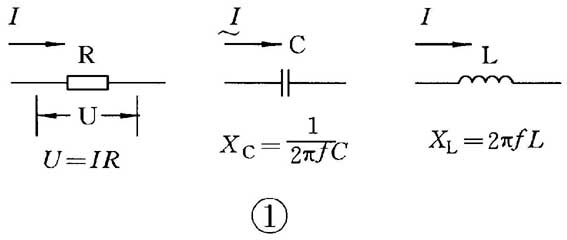
(1) 电阻器、电容器和电感器,它们都是两端线性无源元件(也有三个或更多引出端的,实际上是若干个元件的组合),如图1所示:① 电阻器的特点是对直流和交流一视同仁,任何电流通过电阻器都要产生电压降,电压降U=IR。电阻器的主要作用是限流与降压。② 电容器的特点是隔直流通交流,且交流电的频率越高容抗越小,容抗值为XC=1/(2πfC)。电容器常用于信号耦合、旁路滤波、移相、微分与积分电路等。③ 电感器的特点是通直流阻交流,且交流电的频率越高感抗越大,感抗XL=2πfL。电感器主要用作高频阻流、滤波以及谐振回路。

(2) 变压器,包括电源、音频、中频、高频变压器以及脉冲变压器等,它具有若干个线圈(分为初级和次级),各线圈间互不相通,但交流电压可以从一个线圈耦合至其余线圈。标注出同名端的变压器,分析电路图时应注意各线圈的相位,如图2所示。变压器的主要作用是对交流信号进行传输和分配、电压变换、阻抗变换、相位变换等。

(3) 晶体二极管,是具有单向导电性的两端器件,如图3所示:① 检波、整流和发光二极管,只允许电流从正极流向负极,而不允许从负极流向正极。② 发光二极管通过一定的工作电流时会发光。③ 稳压二极管工作于反向击穿状态,其工作电流从负极流向正极。④ 光电二极管工作时加反向电压,光照越强反向电流越大。

(4) 晶体三极管,是具有放大作用的半导体器件,通常为三个引出端。① NPN型晶体管基极电流Ib和集电极电流Ic均流向发射极,PNP型晶体管Ib和Ic均从发射极流出,它们的Ic受Ib的控制且是Ib的β倍,见图4。② 场效应管由栅极电压UG控制其漏极电流ID,其中,N沟道管应加负栅压,P沟道管应加正栅压,见图5。场效应管除作放大外,还常用作受电压控制的可变电阻。③ 光电三极管一般基极无引出线,工作时也不需要基极偏流,光照越强其集电极电流越大,如图6所示。



(5) 光电耦合器,是以光为媒介传输电信号的器件,其输出端光电管的导通程度与输入端通过发光管的电流IF相关,且输入端与输出端之间是绝缘的,如图7所示。光电耦合器既可以传输交流信号,又可以传输直流信号。

(6) 集成电路,包括通用集成电路和专用集成电路两大类。对于专用集成电路,应根据其资料进行电路分析。对于通用集成电路,则应掌握一般的分析方法:① 三端集成稳压器如图8所示,78××是正输出电压稳压器,79××是负输出电压稳压器。Ui为非稳压输入端,UO为稳压电压输出端。② 555时基电路如图9所示,输出端UO与输入端S、R为反相关系。当UO=0时放电端导通。当复位端MR=0时,UO≡0。③ 集成运算放大器如图10所示,左图为同相放大电路,右图为反相放大电路,放大倍数取决于R1与R2的比值。④ 数字集成电路处理的是数字或脉冲信号(“1”和“0”),可以具有若干个输入端和1~2个输出端,如图11所示,方框中间的符号表示其逻辑功能,带有小圆圈的输出端为反相输出端。通用数字集成电路最常用的是门电路和模拟开关。门电路可用逻辑代数进行分析。模拟开关由数字信号控制信道的通断。




2. 电路图的画法规则
(1) 导线的连接与交叉,如图12所示,左图表示两导线连接在一起。中图表示两导线交叉而不连接。右图中IC1与IC2之间的连线上画有3道小斜杠,表示这里有3条导线分别将IC1与IC2的A与A、B与B、C与C连接在一起,而这3条导线之间并不连接。

(2) 电路图中通常将电源线或双电源中的正电源引线安排在元器件的上方,将地线或双电源中的负电源引线安排在元器件的下方。
(3) 较复杂的电路图中往往不将所有地线连在一起,而代之以一个个孤立的接地符号,如图13左图所示,应理解为所有地线符号是连接在一起的,如图13右图所示。有些电路图中的电源线也采用这种分散表示的画法,应理解为所有标示相同(例如都是+9V)的电源线都是连接在一起的。
(4) 通常电路图中不画出集成运放以及数字集成电路的电源引线,因为这不影响分析电路功能,但分析电源电路和实际制作时不能忘记其电源引线,如图14所示。
二、电路图的基本看图方法
电子电气设备需要实现的功能和达到的目的不同,其电器图的简繁程度也不同。简单的电路图只有一个单元电路、几个元器件,复杂的电路图往往包含许多单元电路、成千上万个元器件,但以下一些基本的看图方法则是通用的。
1. 搞清楚电路图的整体功能和主要技术指标。一个设备的电路图,是为了完成和实现这个设备的整体功能而设计的,搞清楚电路图的整体功能和主要技术指标,即可在宏观上对该电路图有一个基本的认识,因此这是看图识图的第一步。可以从设备名称入手进行分析。例如,在介绍过的20个具体实例中(请参阅本专栏已发表的相关文章),直流稳压电源的功能是将交流220V市电变换为稳定的直流电压输出,主要技术指标为额定输出电压+3V、最大输出电流600mA。超外差收音机的功能是接收无线电台的广播信号,解调还原为音频信号播放出来,主要技术指标为接收范围535~1605kHz中波调幅波,音频输出功率100mW。
2. 判断出电路图的信号处理流程方向。根据电路图的整体功能,找出整个电路图的总输入端和总输出端,即可判断出电路图的信号处理流程方向。例如,直流稳压电源电路图中,接入交流220V市电处为总输入端,输出+3V直流电压处为总输出端。超外差收音机电路图中,磁性天线为总输入端,扬声器为总输出端。从总输入端到总输出端即为信号处理流程方向,通常电路图的画法是将信号处理流程按照从左到右的方向依次排列。
3. 以主要元器件为核心,将电路图分解为若干个单元电路,并画出方框图。一般来讲,晶体管、集成电路等是各单元电路的核心元器件。因此,我们可以以晶体管或集成电路等主要元器件为标志,按照信号处理流程方向将电路图分解为若干个单元电路,并据此画出电路原理方框图。方框图有助于我们掌握和分析电路图。例如,双声道功率放大器电路图中共使用了4个集成电路(左、右声道各2个)和3个晶体管,以这些集成电路和晶体管为核心,即可将整机电路图分解为电压放大器(左、右声道各1个)、功率放大器(左、右声道各1个)、直流检测电路、延时电路、控制电路等单元,其方框图如图15所示。
4. 分析主通道各单元电路的基本功能及其相互间的接口关系。对于较简单的电路图,一般只有一个信号通道。对于较复杂的电路图,往往具有几个信号通道,包括一个主通道和若干个辅助通道。整机电路的基本功能是由主通道各单元电路实现的,因此分析电路图时应首先分析主通道各单元电路的功能,以及各单元电路间的接口关系。例如图15双声道功率放大器电路图中,虚线以上部分即为主通道(分为左声道和右声道)。
5. 分析辅助电路的功能及其与主电路间的相互关系。辅助通道的作用是提高基本电路的性能并增加辅助功能。在弄懂了主通道电路的基本功能和原理后,即可对辅助电路的功能及其与主电路的关系进行分析。图15电路图中,虚线以下部分即为辅助电路。
6. 分析直流供电电路。整机电路的直流工作电源是电池或整流稳压电源,通常将电源安排在电路图的右侧,直流供电电路按照从右到左的方向排列,如图16所示。直流供电电路中的R和C1、C2构成退耦电路,以消除可能经由电源电路形成的有害耦合,这在多级单元电路组成的电路图中比较常见。
7. 详细分析各单元电路的工作原理。在以上整体分析电路图的基础上,即可对各个单元电路进行详细的分析,弄清楚其工作原理和各元器件的作用,计算或核算技术指标。
(门宏)