一台NV-V10EN型家用摄录一体机主导轴电机不转动,经检查发现主导轴驱动电源开关管Q1062的4脚已断裂损坏,请介绍Q1062内部电路结构,损坏后如何代换?
(山东 刘宏)
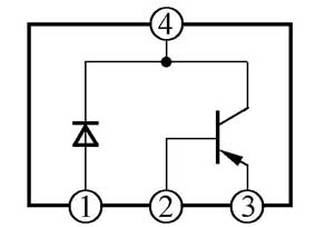
答:NV-V10EN摄录一体机主导轴驱动电源开关管Q1062采用组合晶体管,型号为MPL1,其内部电路结构如附图所示。
Q1062/MPL1损坏后可购买同型号的组合晶体管MPL1更换,如果市场上很难买到同型号的组合晶体管,可用一只2SB798三极管和一只MA736二极管按附图所示的电路结构焊到印制板电路上即可代替。
(黄福森)

问:一台收录机中的集成电路DG4100损坏,请介绍该集成电路各引脚功能和代换型号。
(苏州 苏成)
答:DG4100是块单声道功放电路:1脚:输出,2脚:空,3脚:地,4脚:消振,5脚:消振,6脚:反馈,7、8脚:空,9脚:输入,10脚:退耦,11脚:空,12脚:前级电源,13脚:自举,14脚:电源VCC。DG4100可以用LA4100、CD4100、TB4100、XG4100、SF4100等直接代换。
(倪耀成)
问:熊猫3636型彩电,收看中经常自动关机,面板指示灯也同时熄灭。查12∨支路有开焊处,但补焊后仍如此,不知何故?
(贵阳 范国权)
答:既然12V支路开焊处已补焊但故障依旧,说明是器件不良造成的,可以换掉12V整流管D712或将其与D713调换,一般均可排除上述故障。
(刘福胜)
问:一台JVC彩电的电源电路中,有一个型号为ERZ-C052K271、外形似电阻的元件被烧坏,这是什么元件?不知可用什么元件代换?
(陕西 冯国栋)
答:ERZ-C052K271是压敏电阻,在彩电中主要作电源电路的过压保护。当雷击感应等原因使市电中出现比正常电压高很多的浪涌电压时,压敏电阻的阻值剧降,从而吸收掉浪涌电压,保护了电源电路的主要元器件不被烧坏。ERZ-052K271可用国产的MYJ07K271或MYJ07K471直接代换。
(王德沅)
问:一台东芝289X8M型彩电有图像,但无彩色和伴音,将音量开大有噪音,不知是什么原因?怎么排除?
(辽宁 严鲁赋等)
答:这种故障大多是制式控制电路的L671不良所致。该机的制式控制电路由集成电路IC670(TA8615N)为核心组成,组装在一块印制板上,再与主板连接。检修时,可先试调IC670的20、21脚外接的频率鉴别器L671。如果无效,可拆卸L671,检查内接的68pF瓷管电容器,如看到发黑或发灰黑,说明该电容不良,只要调换该电容即可排除故障。当然如果有电容量测量仪,判断就更迅速可靠。
(王德沅)
问:熊猫3636型彩电出现行幅收缩,场线性严重不良,且不同步,图像闪烁伴音中有杂音的故障,不知该从何处下手修理。
(鸡西市 孙伟)
答:该机采用夏普N-2T机芯,开关电源由IX0689构成,因上述各部分电路同时出现故障的可能性不大,因此断定,该机12V电源存在故障。一般系12V电源调整管2SD313引脚脱焊,或其基极所接的D710、VA701两只稳压管断路所致,造成12V电压下降,从而形成上述故障。
(刘福胜)
问:一台创维SV-757A型三碟VCD影碟机购置几年一直使用正常,最近装上碟片播放,液晶显示屏显示“No disc”字符,碟片无法播放。拆开机盖观察碟片不转动,取出碟片按Dilsc skip键,观察转换碟片后激光头聚焦动作正常,且激光头也有红色激光发出,不知这是什么原因引起的?请问怎样排除故障?
(广州 徐光)
答:由上述故障现象分析,估计故障是因激光头上有灰尘或激光管衰老而引起的。遇到这种情况,可用洗耳球吹去激光头表面灰尘,然后再用中性清洁剂清洁激光头表面,装入碟片后播放。如果上述故障依然存在,说明激光管已衰老,更换同型号的激光头组件VAM-1201后,机器就能恢复正常播放。
(黄福森)
问:飞跃51C2-2型彩电,图像色彩有时正常,有时红色变成青绿色,但伴音和光栅均正常,请问怎样检修?
(山西 向午原)
答:根据现象判断为色解码电路中的识别电路故障。当识别错误时,在彩条的矢量图谱上,红色变成青绿色,青绿色变成红色,紫色变成青色,青色变成紫色。此故障一般是色解码集成电路TA76981AP的12脚外接电容C210漏电所致。由于它的漏电,使12脚电位有变化,而12脚内部电路正是识别检波电路,它会影响双稳态触发器和PAL开关正常工作,引起错误触发。更换C210后,故障排除即可。
(倪耀成)