用本机附带K18J型遥控器,将伴音关到最小,即将伴音量置为0。按住遥控器上的“静音”键不放,同时按下本机面板上的“菜单”键,屏幕右上方将出现绿色的“D”字符,同时在屏幕的左上方将出现绿色的“MODE1 7E”字符,此时,表示机器已进入总线模式。如果屏幕上方无字符出现,请反复操作上述步骤,直到屏幕出现绿色字符为止。
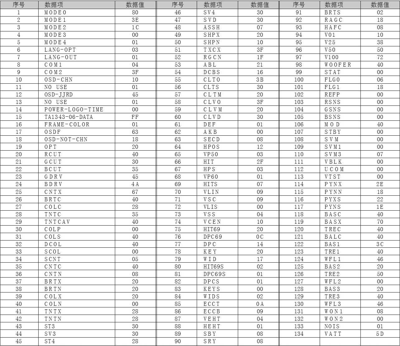
操作遥控器上的“节目+、-”键,可对数据项进行翻页选择,操作遥控器上的“音量+、-”键,可对所选择的数据值大小进行调整,调整完毕,遥控关机,即可退出“D”模式。总线数据如下表所示。
文/赵丽

