首页
全文搜索
分类目录
作者目录
资料
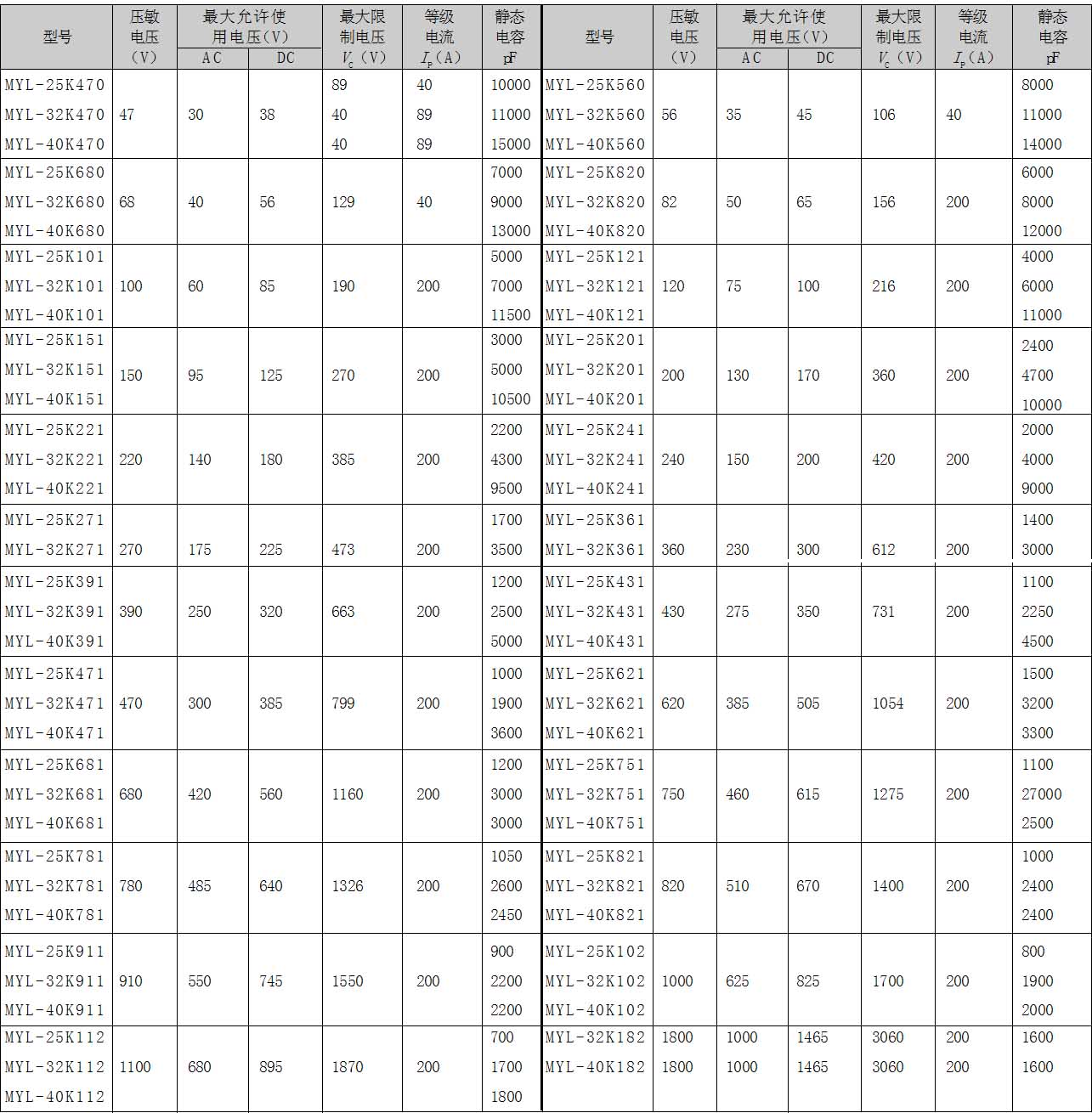
常用压敏电阻主要参数(2)——MYL系列
🏠 首页
《无线电》杂志
2005年 🔗
第7期 🔗
第25页
分类:
家电与维修 🔗
余俊芳 🔗
文/余俊芳
图1
🔍原图 (1285×1310)