有一位参加工作不久的年轻电工,在检修荧光灯电路(图1)时,用万用表交流电压挡分别测量灯管和镇流器上的电压,令他感到意外的是,灯管两端电压为148V,镇流器两端电压为166V,两部分电压加起来竟高达314V,比电源电压220V高出94V!于是,他来找我,让我帮他解开这个谜。我的回答是:这是交流电路中的正常现象,要得到问题的答案,还需要从含有电感的交流电路谈起。

负载为纯电阻的交流电路
接在交流电路中的荧光灯管、白炽灯泡、电炉子、电烙铁、电热水器,等等,都可以看作是纯电阻负载,在电路图上用R表示(图2)。

如果加在纯电阻负载上的正弦交流电压为u=Umsinωt
在电压的推动下,电阻上将流过正弦交流电流。根据欧姆定律
i=uR=\(\frac{U}{_{m}}\)Rsinwt=Imsinωt
式中,电流的最大值Im为
Im=\(\frac{U}{_{m}}\)R
由此可见,电压u与电流i是同频率的正弦量,而且相位相同。图3绘出了纯电阻交流电路中电压与电流的波形图及矢量图。

若把电压和电流的最大值换算成有效值,则
I=\(\frac{U}{R}\)
这就是纯电阻交流电路的欧姆定律。
电阻是耗能元件,在通过电流时,把它消耗的电能转换成了热能。根据计算电功率的公式,负载上的瞬时功率为p=ui
将各个瞬间的电压u与电流i相乘,可以绘出功率曲线(图4)。由曲线图不难看出,电阻负载上的平均功率为
P=12Pm=12UmIm=UI

纯电感上的电压与电流不同相
在物理学中,大家已经学过电流的磁效应。当电感线圈通过电流时,电流将产生磁场,磁力线穿链着线圈。当电流发生变化时,穿链线圈的磁力线也随着发生变动。根据电磁感应原理,变动的磁力线将会切割线圈导线,在线圈中产生感应电动势。这种由于线圈自身电流的变化又在线圈自身产生感应电动势的现象,称为自感应。由自感应产生的感应电动势,称为自感电动势,用符号e\(_{L}\)表示。显然,自感应是电感线圈中电流变化的必然反应,电流变化的速度(即单位时间Δt内电流的变化量Δi)越大,自感电动势e\(_{L}\)也越大。e\(_{L}\)与Δi/Δt成正比。自感电动势具有对抗电流变化的特性。当电流由小变大时,自感电动势与电流的方向相反,阻碍电流的增大;当电流由大变小时,自感电动势与电流的方向相同,阻碍电流的减小。这就意味着自感电动势是线圈中电流变化的一种特殊阻力。
在正弦交流电路(图5)中,流过电感线圈的电流每时每刻都在发生着变化,所以线圈中每时每刻都有自感电动势作用着。我们画出正弦电流的波形图(图6),把正弦电流的一个周期分成许多相等的时间段Δt。可以看到,在各个时间段,电流的变化量Δi1、Δi2……Δi5是各不相同的。不难看出,电流变化到趋近于零值瞬间,Δi/Δt最大,自感电动势eL也达到最大值;电流变化到趋近于最大值瞬间,Δi/Δt趋近于零,自感电动势e\(_{L}\)也达到零值。在第一个四分之一周期,电流由零值向最大值连续增长,自感电动势与电流的方向相反;在第二个四分之一周期,电流由最大值连续变化到零值,自感电动势与电流的方向相同。由此可以给出电流i与自感电动势e\(_{L}\)的波形图(图7)。为了推动电流流过电感线圈,外加电压u必须与自感电动势e\(_{L}\)大小相等、方向相反。这样就得出了电压u的波形图(图7中虚线所示)。从波形图上可以看出,在纯电感负载的交流电路中,电压u在相位上超前电流i90°。根据上述相位关系,可以绘出它们的矢量图(图8)。



自感电动势e\(_{L}\)对正弦电流呈现的阻力叫感抗,用X\(_{L}\)表示,单位为欧姆(Ω)。根据理论推导,计算感抗的公式为
X\(_{L}\)=2πfL (Ω)
式中,L是线圈的电感量,单位是亨利(H)。频率越高,电感量越大,感抗X\(_{L}\)也越大。于是,可以写出纯电感交流电路欧姆定律的公式
I=
纯电感线圈为什么不消耗功率
为了分析纯电感交流电路的电功率,我们重新画出了电压u与电流i的波形图(图9)。根据瞬时功率的计算公式p=ui,可以作出功率瞬时值曲线。在第一和第三个四分之一周期内,电压u与电流i方向相同,所以功率p是正值;在第二和第四个四分之一周期内,电压u与电流i方向相反,所以功率p是负值。瞬时功率p的正、负表示什么呢?p为正值期间,电感从电源吸收功率,把它储存在线圈的磁场中;p为负值期间,电感又把储存的功率释放给电源。如此说来,在一个周期内电感上消耗的平均功率p=0。虽然它没有消耗功率,却占有着电源的一部分功率,这部分功率在电源和负载之间交替往返,没有做有用的功,所以把这部分功率称为无功功率,用Q表示,单位为乏尔(var),它的计算公式为
Q=UI=I\(^{2}\)X\(_{L}\)(var)
电阻与电感串联的交流电路
在电阻R与电感L串联的交流电路(图10)中,电源电压u等于电阻电压降u\(_{R}\)与电感电压降u\(_{L}\)之和,即
u=u\(_{R}\)+u\(_{L}\)
根据上面得出的相位关系,电阻电压降u\(_{R}\)与电流i同相,电感电压降u\(_{L}\)超前电流90°,由此可以画出矢量图(图11)。将U\(_{R}\)与U\(_{L}\)进行矢量相加后,就得到外加电压U的矢量。在矢量图中,用矢量代表的正弦量均表示成I·、U·、U·\(_{R}\)、U·\(_{L}\)。由图11可见,U·、U·\(_{R}\)、U·\(_{L}\)正好构成一个直角三角形,把这个直角三角形单独画出来,则它的三个边不再是矢量,而是正弦电压的有效值U、U\(_{R}\)和U\(_{L}\),常称为电压三角形(图12)。由图可以得到电阻与电感串联的交流电路中电阻电压降U\(_{R}\)、电感电压降U\(_{L}\)电源电压U的关系,即

至此,本文开头提出的荧光灯电路中,灯管电压U\(_{R}\)=148V,镇流器电压U\(_{L}\)=166V,按上式算出

正好等于电源电压220V,问题得出了答案。
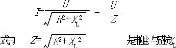
在电压三角形中,各部分电压又可以写成U\(_{R}\)=IR,U\(_{L}\)=IX\(_{L}\),于是

写成欧姆定律的形式

是电阻R与感抗X\(_{L}\)串联后对电流的阻抗。
交流电路中的电功率
把R-L串联电路的电压三角形各个边都乘上电流I(图13),就得到了功率三角形。电阻上消耗的功率为U\(_{R}\)I,称为有功功率P,电感上占有的功率为U\(_{L}\)I,称为无功功率Q,电源供给电路的总功率为UI,称为视在功率S(单位为伏安,用VA表示),它们之间的关系为
S=\(\sqrt{P}\)\(^{2}\)+Q\(^{2}\)(VA)
由电压三角形可以得到
P=Scosφ=UIcosφ
式中,cosφ=P/S,叫功率因数,它是表征交流电路用电状况的重要指标。