本刊87年第4期介绍过以LED石英数字钟为核心,配以半导体存贮器及其它少量器件,制作的“可编程时间控制器”。笔者根据自己在制作中积累的经验,就几个问题作进一步的讨论。
存贮器的选用
一昼夜24小时,共计1440分钟。若只用一片2114存贮器(1K×4位,1024个地址单元),较难实现对每一分钟定时控制的要求。为此,可使用两片2114,也可选用其它存贮器,如6116、6264以及EPROM2764等。下面逐一比较说明。
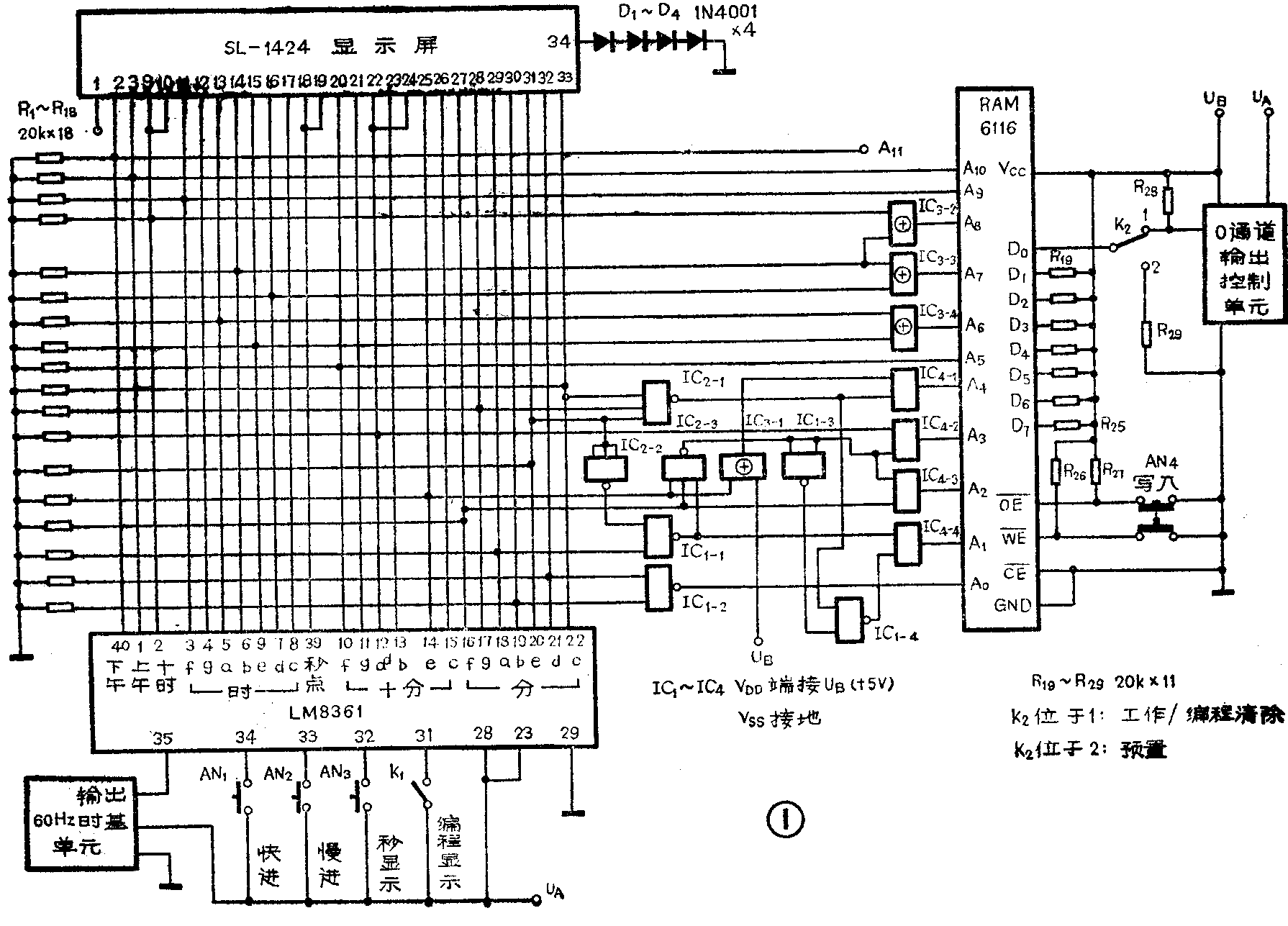
1.使用6116:6116是2K×8位的静态RAM,共有11根地址线,可实现时2048个地址单元的寻址。图1为使用6116时的电路。由大规模时钟电路8361输出的笔段信号中的17个(共23个)组成11位地址信号,可实现对24小时内每一分钟的控制。地址形成电路中,采用了四块4000系列CMOS门电路。其中IC1(4011)为二输入四与非门;IC2(4023)为三输入三与非门;IC3(4030)为四异或门;IC4(4081)为二输入四与门。电路中R\(_{1}\)~R18D\(_{1}\)~D4的作用,详见后述。

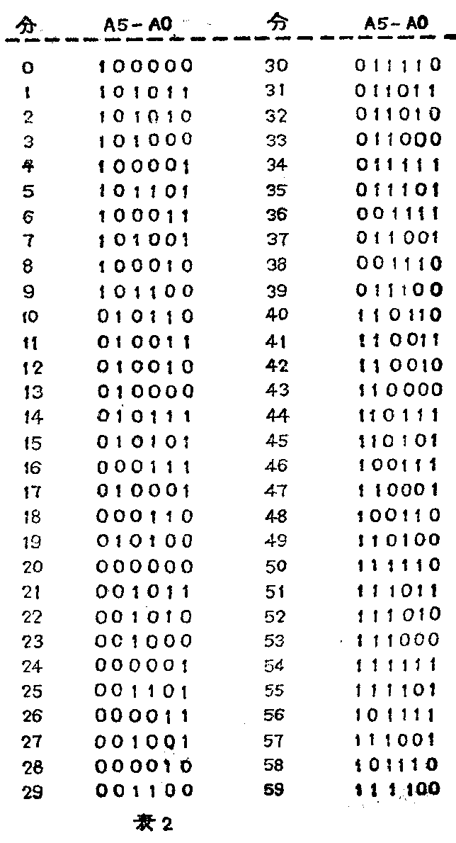
最高位地址A\(_{1}\)0由8361的1脚确定,上午为高电平“1”,下午为“0”。地址A9\(_{6}\)由十时和时的笔段信号确定,12个小时分别对应的地址见表1。地址的低六位,可组成2\(^{6}\)=64种状态,其中60种有效,分别对应0到59分(见表2)。


图1中只以0号通道为例,实际采用6116时,可实现对8路的控制,其电路与0号通道完全相同。
2.使用两片2114(图2):使用两片1K×4位的静态RAM2114,也可以实现对1440点的控制,地址形成电路与采用6116时相同。将两片RAM的十根地址线A\(_{0}\)9并接,并将A\(_{1}\)011信号分别作为RAM2和RAM1的片选(CS-)信号。上午A\(_{11}\)为低电平,RAM1被选通;下午则选通RAM2。

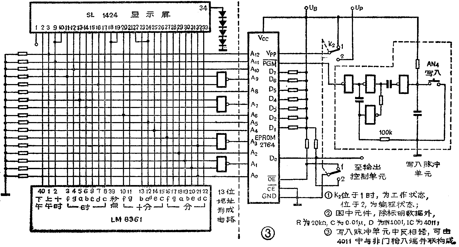
3.使用6264:6264是8K×8位的静态RAM,价格较2114及6116要贵一些,但它有13根地址线,由笔段信号形成13位地址是比较方便的。图3中虚线左边部分为13位地址形成电路,仅用了一块二输入四与非门4011。最高位地址A\(_{12}\)由AM笔段信号确定,上午为“1”,下午为“0”。A7\(_{11}\)由小时的笔段信号确定,A4\(_{6}\)由十分位的三个笔段信号形成,A0\(_{3}\)则来自分位的笔段。使用6264时,地址线可按照图3虚线左边所示的电路联接。输出与编程控制电路,与采用6116的情况完全相同。
4.使用EPROM:2764是8K×8位的EPROM。将数据信息写入EPROM后,即使停电也不会丢失。一般单位的作息制度并不经常变动。若定时控制器系用于作息时间的控制,则采用EPROM可免除停电或其它原因带来的麻烦。控制信息由制作者写入芯片。当作息时间变更时,可将信息擦除重写,也可将新的控制信息写入2764的另一位。
图3为使用2764的电路。校时电路与前几个电路相同,但K\(_{1}\)省去不用。还可以在其它机子上将控制信息写入2764芯片,再将芯片移至定时控制器上。这样,控制器的电路可进一步简化。图3中的“写入脉冲单元及K2都可省去,只要将2764的OE-端接地,V\(_{pp}\)和PGM-端接UB(+5V)即可。

输出控制电路、电源
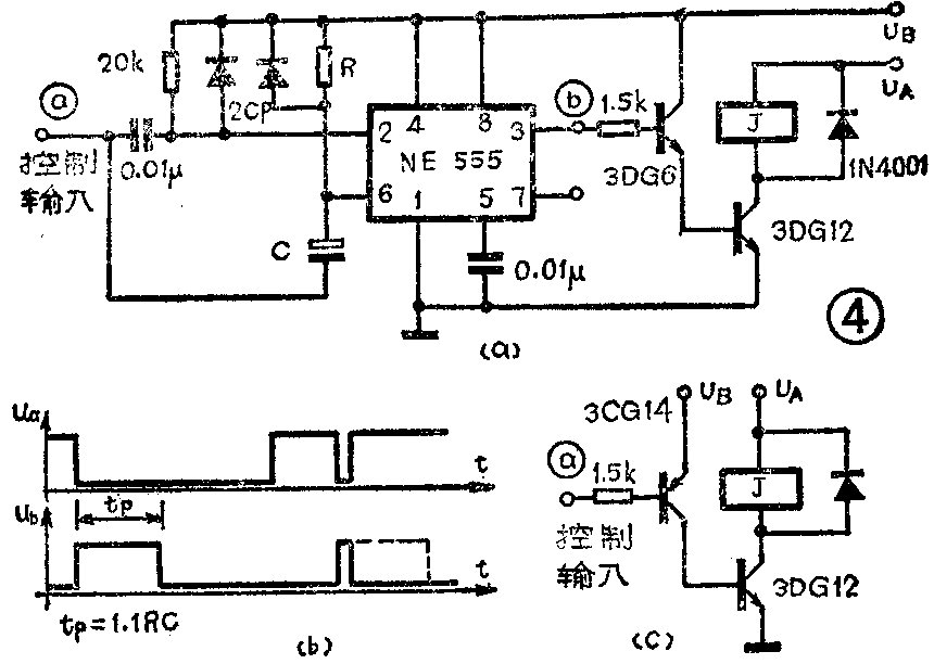
当需要定时控制的时间不足一分钟时(如打铃,通常为15~20秒),可采用图4a所示的单稳定时电路。该电路与常见的555单稳电路略有不同,系宽脉冲触发电路。当输入端负脉冲的宽度大于t\(_{p}\)(≈1.1RC)时,输出脉冲宽度为tp;当输入脉冲宽度小于tp时,输出脉冲的宽度与输入端相同。采用这样的电路很有必要。因为上述诸电路在工作中,存贮器的片选端(CS-或CE-都处低电平,片子始终被选通。当时钟显示的数字变化,地址信号尚未稳定的瞬间,存贮器的数据线上(图4中)可能会出现一个很窄的脉冲。采用上述单稳电路,窄脉冲虽然仍反映到单稳电路的输出端(图4中。波形见图4b),但由于脉宽非常小,不会引起继电器动作,而导致控制逻辑混乱。显然,若采用一般的窄脉冲触发的单稳电路,将不能排除上述干扰。
如果要控制的时间为一分钟或更长,可选用图4(c)所示电路。图4中J是线圈电压为12伏的小型继电器。若控制的负载功率较大,则可再增加一交流接触器。

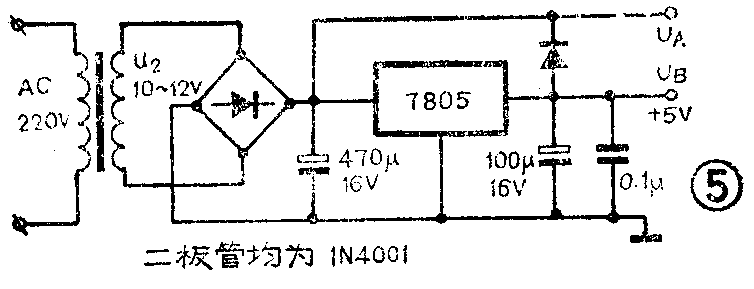
电路中集成电路的种类较多,要求的电源电压也不同。可参照图5配置电源。变压器次级的电压以10~12伏为宜,太高时将增加8361的功耗;太低则影响显示的亮度,甚至不能正常工作。

这里说明一下显示屏公共阴极(34脚)所接二极管和笔段信号端脚对地所连电阻的作用(即图1中R\(_{1}\)~R18、D\(_{1}\)~D4)。笔段信号各输出脚可等效为一开关。当某一笔段不被点亮时,8361相应的端脚呈高阻状态,相当于等效的开关断开。这时,对地连接的电阻使相应的地址线可靠地处于“0”电平;若无此电阻,地址线将被悬空。二极管D\(_{1}\)~D4接入后,可使显示屏公共阴极对地的电压稳定在2.8伏左右。当某一笔段被点亮时,加上发光二极管的压降,相应地址线对地的电压为4.8~4.9伏,可靠地处于高电平状态。上述电阻及二极管比较理想地解决了显示屏笔段信号与CMOS及存贮器电路的电平配合问题。图1中的60Hz时基电路,可用MM5369集成电路和3.579545Hz的石英晶体构成。
编程及其它
若控制器用的是RAM,随时都可将控制信息置入或清除。K2处位置1,K1断开,接通电源,便可校时工作。首次编程时,将K1闭合,K2处位置1,同时按下AN1(快进)和AN4(写入),使显示的数字完成24小时的一个循环(将存贮单元置成全“1”)。然后将K2掷向位置2,将显示的读数调到要预置的时刻,按一下AN4,就将这一点预置好了。所有各点预置完毕,将K\(_{1}\)、K2复位即可。要取消已预置的某点,只须闭合K\(_{1}\),调整显示读数到该点,按一下AN4,然后断开K1,回到工作状态。
若电路中采用的是EPROM,所谓编程只能将“0”写入,而不能随便清除。编程时需外接直流12.5~21伏的编程电源U\(_{p}\)。究竟取多少伏,视不同厂家的2764芯片而定,有的芯片上有标出,有的须查手册(没有资料的情况下,可先取得低一些)。接通Up后,将K2掷向2,调整显示读数到要预置的这点,按一下AN4,便将该控制信息写入了。所有各点预置完毕,复位K2,U\(_{p}\)要注意的是,定时控制器在工作中,不要随意按下“秒显示”按钮AN3。因为秒显示的读数,很可能导致控制器的误动作。(姜继延)