随着国产立体声唱片的大量发行,越来越多的用户认识到密级立体声唱片的音盾和频响大大优于盒式录音磁带,因此购买立体声唱机的人日益增多。国内数百万拥有单声道电唱盘的音乐爱好者十分关心能否将单声道电唱盘改装成立体声电唱盘。回答是:能,而且改装并不困难,花费也不很多。
立体声电唱盘与单声道电唱盘的主要区别就是拾音器(唱头+音臂)不同,特别是唱头有根本区别。因此,原则上说只要把单声道电唱盘的拾音器或唱头改换成立体声拾音器或唱头就行了。
206型电唱盘改为立体声电唱盘的方法
1.更换唱头:立体声唱头与单声道唱头有什么不同呢?为了回答这个问题,我们先来看一看立体声唱片与单声道唱片在录音方式上的重要区别。如图1所示单声道唱片采用横向录音,放唱时唱针在唱片水平面上作横向位移;立体声唱片是将左、右两个声道的信息分别刻录在声槽的两壁上(称为45°/45°录音),放唱时唱针在声槽两侧作垂直于声槽壁的运动。离唱片中心较远的槽壁是右声道,另一槽壁是左声道。

206唱头是压电晶体单声道唱头,只有一组压电晶体片,其结构如图2所示。206型电唱盘只要换一个立体声唱头,并增加一根音频输出线就成了立体声电唱盘。上海中国唱片厂生产的FD-107立体声唱头就是专为206电唱盘改装立体声而设计的,其换能原理如图3所示,唱针仍是一根,不过针尖的曲率半径(R=0.013~0.018毫米)比密纹单声道唱针的针尖半径(R=0.018~0.025毫米)小。两组压电陶瓷片互相垂直并且对称分布。放唱时,唱针对应左、右声道作垂直于槽壁的合成运动。就是说,既有平行于唱片水平面的横向位移,也有垂直于唱片水平面的纵向位移,从而通过针杆和橡胶传动件使压电陶瓷片相应地弯曲变形,把机械运动变为相应变化的输出电压。左声道的压电陶瓷片只对唱片左声道的信息有响应,而对唱片右声道的信息无动于衷;反之,右声道亦然。这样就保证了声道分隔良好。声道分隔越好,串音就越小,立体声效果也就越显著。另外,左、右两个声道的输出灵敏度应比较接近,否则两个声道的输出信号就会相差悬殊,使立体感逊色,这叫声道平衡不佳。以上几点是立体声唱头与单声道唱头的主要区别,实际上,几乎也可以说就是立体声电唱盘与单声道电唱盘的主要差异。


FD-107唱头的针压为3~5克,低于206的针压(8~12克)因此,在换唱头时还要换一根音臂中的针压拉簧,这对减少唱片和唱针的磨损是很有利的。试验证明,FD-107的唱针寿命是206的4倍以上。另外,FD-107唱头的循迹能力比206好,因而放唱时跳槽的可能性大大减少。
FD-107立体声唱头可向上海衡山路811号“上海汇风综合服务公司”购买,每只7.20元,邮费另加。FD-107唱头盒中附有RVP音臂线、RYVP输出线、针压拉簧、插孔、套管、焊片等,并附有改装说明和装配图解,稍有电学知识者就能自行改装,改装后如图4。

2.更换拾音器(唱头+音臂):206音臂采用滑动轴承,摩擦阻力较大,音臂的灵敏度较低,这对拾音器的循迹性能是不利的。由于立体声唱片的槽宽和槽深都比密纹单声道唱片约小一倍,因此立体声唱机对唱头的顺性和音臂的灵敏度都要求较高,否则容易发生循迹障碍,甚至跳槽。
另外,206音臂是动(态)平衡式,即依靠弹簧的拉力施加针压;又因是塑料音臂质量较小,所以拾音器的低端谐振频率较高(45赫左右),这对转盘信噪比和频率响应都不利,因此,如果有可能,还是将唱头和音臂一起更换为好。国内有好几家厂(如上海吉安电唱机厂、江苏常熟无线电厂等)均有供206改装立体声的拾音器出售,图5就是其中之一。

其他单声道电唱盘改成立体声的方法
1.选配立体声唱头,除206型电唱盘外,其他国产单声道电唱盘的拾音器多数与C84或701电唱盘的拾音器相仿,因此就以这两种型号为例,介绍改装立体声唱头的方法。
改装前先用直尺量一下单声道电唱盘的唱针超前距——唱针超过唱盘中心的距离,然后把单声道唱头从音臂上取下来,在塑料音臂的头部钻两个孔(长孔更好,便于调节),孔距按国际惯例为12.7毫米(1/2英寸),如图6所示。将购置的立体声唱头(如上海中国唱片厂或常熟无线电厂产品)用两个螺钉固定在音臂上,并使唱针的超前距与原电唱盘时的相同即可。唱头与音臂之间最好垫一块1毫米左右厚的橡皮,既起隔振作用又可避免拧紧螺钉时损坏音臂。这种唱头是四线制,四根接线柱按左、右声道排列(见图7)。将两根双芯隔离线分别从左声道(L、E)和右声道(R、E)四根接线柱上引出,以代替原来的单芯隔离线,两根隔离线的金属屏蔽层都接地,然后用两根带护套的双芯隔离线引出机外,接到电唱盘输出插头上去。


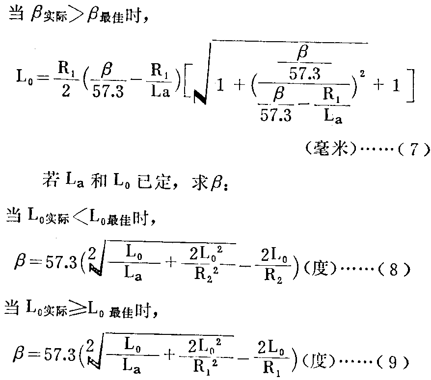
2.更换拾音器:更换拾音器一般说来比仅仅换唱头效果好。为了讲清这个问题,需要介绍水平循迹误差的概念。众所周知,刻录原版唱片时,刻纹头是沿着导向丝杆从唱片外圆向中心作直线运动。而唱机放唱时,拾音器绕音臂支点转动,唱针的运动轨迹是一圆弧,因而产生了水平循迹误差,引起二次谐波失真。设计音臂时,使唱针尖超过唱片中心并偏置唱头能使水平循迹误差大大降低,如图8所示。设计音臂时针尖最佳超前距L\(_{0}\)和唱头最佳偏置角β一般用下式计算:


式中:L\(_{a}\)是音臂支点到唱针尖的水平距离,即音臂有效长度(毫米);
R\(_{1}\)是唱片终止纹半径(300毫米的立体声唱片R1=53.2毫米);
R\(_{2}\)是唱片录声面的最大半径(300毫米的立体声唱片R2=146.3毫米)。
将R\(_{1}\)、R2代入(1)式得:

举例:如图8所示,已知206型电唱盘(其他电唱盘可测量)音臂支点到转盘中心的距离A\(_{0}\)=183.6毫米,改装时采用图5所示的S形音臂,安装图7所示的立体声唱头,设唱头最佳偏置角β=25°,由(5)式得唱针最佳超前距L0=0.68×25=17(毫米),故音臂有效长度L\(_{a}\)=L0\(_{0}\)=17+183.6=200.6(毫米)。图5所示的音臂通过安装唱头时的前后调节能满足L0≈17,β≈25°,即达到了最佳状态,此时失真最小。
一般而言,待改装的电唱盘其A\(_{0}\)是已知的,需要选购一个合适的拾音器,通过安装唱头时的前后调节(改变L0)或者偏转唱头轴线(改变β),使L\(_{0}\)和β尽量达到或接近最佳值。如果相差太远,就要用下面的公式计算:
改装注意事项
1.唱头的输出隔离线(音臂线)尽可能选用直径细一些的,屏蔽层及绝缘层应软一些,以免影响音臂横向转动的灵敏度。
2.拾音器输出屏蔽线的电容量越小越好,因此屏蔽线的长度应尽量短些,目的是力求少降低唱头的输出灵敏度。
3.改装后的立体声电唱盘可以放唱密纹单声道唱片,但不宜多放,因为唱针若摩损后再放立体声唱片就容易损坏唱片,而且也容易产生循迹故障。如果要经常放密纹单声道唱片,最好是准备两个FD-107立体声唱头,新唱头放立体声唱片,旧唱头(唱200小时后)放密纹单声道唱片。
最后应指出:由于一般压电陶瓷立体声唱头的低频响应优于酒石酸钾钠晶体唱头,加之立体声唱片是45°/45°录音,唱针的循迹运动有纵向分量,所以立体声电唱盘电动机的振动频率和纵向振幅都应较低,才能得到较满意的转盘信噪比。而本文所讲的改装办法,均不更换电动机,所以转盘噪声一般较大。(电磁式唱头——动圈式、动磁式、动铁式等低频响应更好,一般不宜用于改装立体声电唱盘)。另外,有的立体声唱头顺性不佳,放唱某些唱片时容易跳槽;有的唱头与原来的音臂不匹配,低频谐振严重,容易产生机振。因此,如果想获得更好的放音效果,还是购买新的立体声电唱盘,如中华牌F-2011C等立体声电唱盘为好。(唐启迪 丁勇)

