为了传送高质量的立体声音乐节目,目前立体声广播普遍采用超短波波段调频制。调频立体声广播,按照调制方式的不同有多种制式,其中导频制和极化调制制均得到了国际咨询委员会(CCIR)的推荐。我国目前所采用的制式就是国际上广泛采用的导频制。
立体声广播传送的是双通道立体声定位信息,它像彩色电视传输亮度与色度两种图象信息一样,需要运用无线电多工传送技术(所谓无线电多工传送是指用一个发射载波传输两种以上的信息)。把要传输的多种信号预先进行编码调制,构成一个复合信号,然后调制在主载波上一起发射出去。这个调制信号在立体声广播系统中叫做立体声复合信号。立体声收音机鉴频器输出的信号,就是立体声复合信号。把这个信号送入立体声解调器(下称解码器),就能解出两个通道各自的信息。
导频制立体声复合信号的波形不仅体现导频制的各种性质,而且也能体现各信号的相位关系。所以利用它能直观地看出立体声设备各有关环节的性能;利用它还可以测量出多种参数。了解与熟悉立体声信号波形,是深入理解立体声广播与接收原理,学懂或设计立体声收音机解调电路,装制与调试立体声收音机或信号发生器等必不可少的知识。
一、信号的构成
双声道立体声的原始信息是左、右两路声频信号,简称‘L’信号和‘R’信号。L和R分别是英文Left(即“左”字)和Right(即“右”字)的字头。录制立体声节目的时候,由于声源的空间分布位置不同,使得到达两只录音话筒的左、右两路声音信号的强度及时间不同。L和R两路信号的强度差和时间差(或相位差)构成了立体声定位信息。重放立体声节目时,经左、右两路喇叭(或耳机)发出的声音能按比例地再现这种强度差和时间差,结果使聆听者感到声音好像不是来自两只喇叭,而是出现在两个喇叭之间的空间相应的点,以“声象”的形式重现原声场的声音。这样,聆听者就获得了重放声的立体感。产生一种好像在原声源前倾听的感觉。也即产生了临场感,诱发出身临其境的幻觉。此L、R信号可以直接录制在录音磁带上,也可直接灌制在立体声唱片唱槽的左、右两侧壁上。使用立体声录音机、立体声唱机还音,就可以聆听到立体声节目,这是大家熟知的。但是,在立体声广播系统中,如果也直接用L、R信号调制发射机的载波,那就需要用两部发射机,并且使用两个载波频率。接收时,要用两部收音机才能获得立体声。最早期的立体声广播曾这样试验过,这显然是极不经济的。经过广播工作者多年的实践探讨,才发展成为今天所采用的无线电多工传送技术。
无线电多工传送技术的方法之一是频率分割制副载波多工法。所谓频率分割,是改变左、右两组信息中一组的频率,使得左右两组信息的频谱分开,构成并列频谱,以便共同调制同一个发射载频。所谓副载波法是将一组信息调制在预先选定的副载波上,以便产生一个包含着此信息的新频谱(参见图1)。

在立体声广播系统中不能直接将L、R信号进行频率分割。因为立体声广播的一项基本要求是兼容性。也就是说,用立体声收音机应能收听普通单声道调频广播;而用普通的调频收音机应能收听立体声广播(但无立体感)。如果将L、R两组信息进行简单的频率分割,那么没有立体声解码器的普通收音机就会解不出调制在副载波上的那组信息。也就是说只能
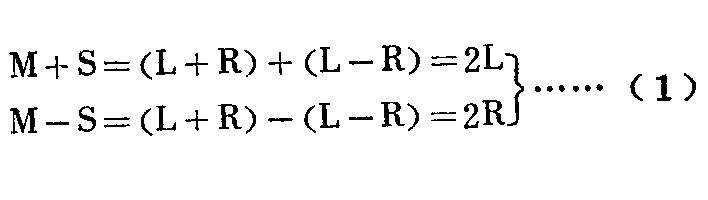
听到L或R一组信息。采用“和差制”解决了这个问题。将左、右信号相加得和信号M=L+R,将左、右信号相减得差信号S=L-R。将和信号作为主信道,保持全部L和R的音频频谱(30Hz~15KHz)。在此频谱上端,再添置一个超音频副载波。用S信号(称副信道)去调制副载波,形成一个新频谱。然后合成一个总频谱对主载波(即发射频率)进行调频。这样发射机发射出来的信号是M=L+R、S=L-R的合成信号。普通调频收音机收到这种信号,可以解出M信号。它包括了L、R两组信号(即节目的全部内容),但不能把它们分成左、右两路,因此听起来没有立体感。而立体声收音机收到这种信号,通过立体声解码器对M和S相加、减:

得到2L和2R,最后分离出L、R两路信号,并送入两路低频放大器,分别放大L,R信号,所以听起来有立体感。
用S信号调制副载波有调幅、调频两种方法。在导频制中,采用38KHz超音频信号做副载波,用S信号对它进行幅度调制。然后用合成频谱对主载波进行调频。所以导频制属于FM—AM方式。但是,如果将38KHz副载波也发射出去,就会占据主载波的许多有效频偏,因而限制了(L+R)和(L-R)边带信号可利用的频偏,造成信噪比的下降。所以在立体声广播中,在主载波发射之前先将副载波抑制掉,只保留上、下边带波,如图1所示。图2上是38KHz副载波被S信号调制后的波形,图2下是经过平衡调制器除去副载波信号,只保留边带调制波的波形。注意,当S信号从一个周期内的正半周进入负半周时,平衡调制后的副载波反相180°。

在立体声收音机中,这个被抑制了副载波的调制信号经解码器,无法直接解调出S信号,必须在收音机内产生一个频率、相位均与发射系统相同的38K-Hz的副载波,才能解出S信号。为此,在发射端,利用和、差信号频谱的间隔处,再发射一个仅占总频偏10%的19KHz调频信号,以便在收音机中“引导”出38KHz副载波来。一般,将19KHz取名为导频副载波,所以把这种制式称为导频制。因为最初是由美国增尔智公司和奇异公司共同发展起来的,又得名Zenith-GE制。
图1是立体声复合信号的总频谱。可以看出,这三部分信号构成了导频制立体声复合信号。可以用下式表示:
A(t)=(L+R)+(L-R)sinωt+psin\(\frac{ω}{2}\)t (2)
式中:ω为38KHz副载波的角频率, P为导频信号振幅,\(\frac{ω}{2}\)则为导频信号的角频率(即19KHz)。
大家知道,载波是一个连续的正弦波,对载波进行调幅,就是用有频信号来改变它的振幅,音频振幅与原载波振幅之比就是调制深度(用百分比表示)。对载波进行调频,可比喻为两手拉一根弹簧,一会儿拉松一会儿压紧。拉松时相当于载波频率变低;压紧时相当于载波频率变高。这个频率变化的大小就称为频偏。两只手拉开与靠近的距离可比喻为音频信号的振幅,所以频偏与调制信号幅度成正比。用频偏表示调频波的调制深度。在调频广播中,规定的最大频偏是75KHz。既然立体声的三部分信号共同调制主载波,就要分配频偏。一般导频信号的调制深度只占10%,即7.5KHz。主、副信道两者的频偏之和占总频偏90%,即67.5KHz。两者之间如何分配,要看L、R信号各自的幅度。取决于L、R任一方中幅度较大者,而与幅度小的信号一方无关。瞬时出现M一方或S一方的幅度为零是可能的,这时如果另一方幅度足够大,就会使一个信道独占90%的频偏。这就是图1的频谱中出现虚线的解释。
普通调频收音机从鉴频器输送到音频放大器的信号是第一项(L+R)信号。因为(2)式中的第二、三两项频率高于15KHz,从鉴频器一出来立刻被紧挨着鉴频器的去加重等网络滤除掉了。
立体声收音机鉴频器输出的三部分信号中,(2)式里的第二、三两项没有滤除掉而与第一部分一起被送入立体声解码器。解码器的任务是从这三部分信号中恢复出左、右两路音频信号来。
下面结合导频制立体声发射系统,详细地介绍立体声信号有关的波形。图3是立体声发射系统,包括立体声调制器和发射机等。各级输出的信号波形,均标在有关点上。图4详细地给出了各信号的合成过程。


图4中(a)、(b)表示两种不同频率的左、右路信号波形;(c)表示左、右信号之和(M)的波形;(d)表示左、右信号之差(S)的波形;用差信号S对38KHz副载波(e)进行调幅,得波形(f)。再抑制掉副载波,则得副信道信号波形(g);(h)是主信道波形(c)与副信道波形(g)的复合波形。其包络分别为2L和2R;(i)是导频信号的波形;而(j)则是(h)+(i)的复合波形,这就是公式(2)所表示的立体声复合信号波形。
(j)波形与(h)波形相比不同之处是副载波波峰每间隔一周期出现犬牙交错的幅度变化,这是19KHz导频信号与其成倍数关系的38KHz副载波合成的结果。图5说明了这一点。

二、调试用的标准信号
图4中立体声复合信号(j)的波形,是假设L、R信号两者完全无关且频率不同的情况下得出的。虽然分析电路性能时可以用它,但在实际生产调试立体声收音机时,使用它并不方便。为了便于调试与定量地测量立体声收音机的有关性能(如通道分离度、通道相等度、谐波失真、非线性串音等),特别是在调整解码器时,为了获得最佳通道分离度,实用中多使用另一种复合信号。这种复合信号叫做立体声信号发生器的标准信号。一般有两种:一种是用L信号调制副载波,而取R信号为零。叫做左复合信号,示于图6(a)。第二种是用R信号调制副载波,取L信号为零,叫做右复合信号,示于图6(b)。这两种信号虽然都可以用来调整收音机,但也应注意它们的区别。

粗看时(a)(b)两图非常相似,但细看则有差别。若注意图中标有符号“○”的地方,就能知道它们二者的差异。在图(a)中从①看到②,或从③看到④,波峰②或④总比与它相邻的两个波峰(标有符号凸出。而在图(b)中则相反,从⑤看到⑥,或从⑦看到⑧,波峰⑥或⑧总比与其相邻的两个波峰凹进。概括判别左右立体声信号的方法是:从波形基底(当波形为正半周时,基线A是基底。当波形负半周时,基线B是基底)的任一波峰处,顺时间轴方向看到波形振幅另一端的波峰,若此波峰比与它相邻的两个波峰凸出,则为左立体声信号,若比与它相邻的两个波峰凹进,则为右立体声信号。
图7和图8说明了左、右复合信号不同的原因。图7中因为R=0,得到M=S=L,而图8中因为L=0,得到M=R,S=-R,出现负R说明图8中的M与S信号存在180°相位差。正是这个S=-R,使得被调制的副载波也出现了180°相位差。但两者导频信号的相位一致,所以立体声信号三部分相加之后出现凸凹峰谷次序的差异。


标准信号的各个成分的幅度比值和相位允差(相位允许偏差)是有要求的。其规定与前述图1立体声信号频谱中频偏的分配相一致,也就是与发射系统立体声调制器中的电平、相位关系相同。设复合信号的最大输出幅度为100%,导频信号幅度应占9~10%,L.和R信号幅度各占45%。如果相位或幅度不准确就会影响被测系统的分离度和失真等指标。相位允差一般参照发射系统的立体声信号标准:(1)导频信号频率准确度为19KHz±2Hz,它与38KHz副载波的相位差不得超过±3°。(2)M信号和S信号的幅度比相差不得超过3%;相位差不大于±3°。使用信号发生器时,各个信号的幅度比可分别调节,而信号之间的频率和相位关系由发生器的性能保证。
三、波形的运用
在立体声节目录制时得到左、右两路信号之间的时间差和强度差。从广播到接收重放,整个过程不应使它们发生变化。否则信号的声象将发生偏移。例如聆听时会出现乐器位置错位或各种乐器拥挤到一起的感觉,严重时会使声象位置模糊以致立体感消失。然而,从发射系统到收音机之间的整个调制、传输、解调、放大过程中,两通道电信号之间没有一点相互串漏是不可能的。这就引导出立体声系统一项最重要的指标——分离度(或称“串音衰减”)。它是这样定义的:假设L通道有信号输入,而R通道无信号输入,L通道的信号串入了R通道,使R通道输出了与L通道内容相同的信号,此输出量与L通道的输出量之比就叫分离度,一般用dB表示。或反之,R信号向L通道串漏也是一个道理。
根据立体声定位原理,左、右信号声级差达到16~18dB,时差达到4~7毫秒时,就会出现“全左”或“全右”的声象位置偏差。因此,立体声系统的总分离度不应劣于20dB。
利用标准信号既可以定量地测量分离度,也可以分析立体声系统各环节(包括信号发生器、收音机高中频部分、解码器等等)的分离度变化的诸过程。以下列举几种应用的例子:
①分离度的测试:如果对某局部电路输入一个标准信号,从被测点得到图9(a)或(b)的波形,那么这个电路的分离度就是:
Sep=20log\(\frac{A}{B}\)。

②副载波相位差的判断:如果解码器内再生出来的副载波与电台发射出来的导频信号之间出现相位差,将会严重地恶化分离度。它们之间的关系可见图10曲线。另外,立体声信号发生器输出的复合信号中的边带波与导频信号存在相位差,那么用这种信号调试出来的解码器的分离度也会很差。

图11(a)为副载波相位较导频信号超前90°(+90°)的复合信号波形,(b)是滞后90°(-90°)的波形。图12(a)、(b)给出了形成这种波形的原因。


③主、副信号的相位关系;当M与S信号在传输或解调过程中产生相位差时,就会出现图13所示的波形。将使分离度严重恶化。此相位差与分离度的关系示于图14。


在立体声收音机中,如果中频放大器的通频带太窄、相位特性不好,均会导致S信号振幅比M信号小或引起相位畸变。解码器中常使用一些电感、电容元件,及谐振电路。当它们设计不当或调试不佳也会带来上述畸变。
善于运用这些波形对电路进行分析,是弄懂、设计、调试立体声收音机电路,以及检查排除故障的必备知识和有效手段。(高乃康)