编者按:本刊今年第三期刊登了吴波同志的“没有立方根运算键也能开立方吗?”一文以后,引起了很多读者的兴趣,纷纷来信来稿,指出探讨扩大袖珍计算器的使用范围问题很有实际意义。但是大家都认为吴波同志所提出的方法太复杂,需要动手又动笔,运算过程中容易产生差错。不少同志提出了不采用笔记的方法,只用按键就能得出答案,既简便,又不易出错。我们从中仅选出了三篇发表,其它同类文章,限于篇幅,恕不能一一刊登出来。
用算术计算器开立方的简便方法
在我们讨论开立方的按键程序之前先作一个实验。使用只有开平方功能的算术计算器,按入27这个数字后,按动10次开平方功能键,然后按2次乘号键(有的计算器按1次就可以,按2次也无妨),接着按10次等号,然后又按2次乘号,接着再按30次等号,这时计算器的显示数就是27的立方根的近似值。各种计算器按完后的显示数可能在小数点第三位以后不完全一样,这是因为它们的运算器大小不一样的缘故,但它们和3(27的立方根)的误差都很小,如果把小数部分四舍五入,那就得3。这是用什么道理开立方的呢?下面从计算器和数学两方面来分析这个问题。
先从计算器谈起。有些算术计算器上有X\(^{2}\)这个功能键,而有些则没有。我们已经知道,没有X2功能键的计算器也能作乘方运算,办法是按动[×][×][=]键。例如按入数字a以后,接着按动[×][×][=]键,则显示a\(^{2}\)的数值。读者可用任意数字代替a,实验一下,肯定是对的。若在按动[×][×]键以后,不只是按1次[=]键,而是连续按[=]键,则是将a这个数连续自乘。按1次等号,就自乘1次得a2,按2次等号就自乘2次得a\(^{3}\),按n次等号则得an+1。这时如果再按2次[×]键,以后按[=]键则是要将a\(^{n}\)+1这个数进行自乘,按1次[=]键得(an+1)\(^{2}\),按2次[=]键得(an+1)\(^{3}\),按m次[=]键得(an+1)\(^{m}\)+1=a(n+1)(m+1)。根据这个原理,在求一些数的乘方时,可以大大节省按动[=]键的次数。例如,求2\(^{24}\)=?输入2并按动[×][×]键以后,本应连续按动23次[=]键。但是由于24=3×8=3×2×2×2,所以224=2\(^{3×2×2×2}\)={[(23)\(^{2}\)]2}\(^{2}\)。于是,在计算器上就可以这样按:2[×][×][=][=][×][×][=][×][×][=][×][×][=]。按完后所显示的结果就是224幂。
以上介绍了用计算器求平方和连续自乘的按键方法,下面结合一些数学分析,推导开立方的程序。
从代数方根运算法则我们知道,\(\sqrt{a}\)=\(\sqrt{4}\)\(^{a}\)=a\(\frac{1}{4}\)=a\(^{1;2}\)2,\(\sqrt{a}\)=\(\sqrt{8}\)a=a\(\frac{^{1}}{8}\)=a1;23。由此可见,在计算器上,按1次平方根功能健,即开1次平方,按2次则连续开2次平方,即开2\(^{2}\)次方,按n次,则开2n次方。如果能找出适当的n、m值,使m/2\(^{n}\)=1/3,则a1/3=a\(^{m}\)/2n。显然,a\(^{m}\)/2n=(a\(^{1}\)/2n)\(^{m}\)。a1/2\(^{n}\)就是将a开n次平方,(a1/2\(^{n}\))m就是将a开n次平方以后,再进行m次乘方。这就是用开方、乘方运算代替开立方运算的数学根据。2\(^{n}\)是这样的一系列数:2、4、8、16、32、64、128、256、512、1024、2048、4096……。既然m/2n=1/3,那么m就应当是2\(^{n}\)被3除以后所得的商数。但上述2n的一系列数都不能被3整除,只能通过四舍五入取其近似值。2\(^{n}\)的值越大,m/2n越接近1/3。例如取2\(^{n}\)=1024,则m=1024÷3=341.3≈341,于是得a1/3≈a\(^{341}\)/1024=(a1/1024)\(^{341}\)=(a1/210)\(^{341}\)。用计算器求(a1/210)\(^{341}\)时,按键次序应是先开方后乘方。因为若先乘方,计算器可能发生溢出,而溢出后就无法运算了。此外,为了减少按键操作次数,我们又把341化为11×31,因此,3a≈(a\(^{1}\)/210)\(^{341}\)=(a1/2\(^{1}\)0)11×31=[(a\(^{1}\)/210)\(^{11}\)]31的按键程序是:

从理论上讲,n和m取得越大,m/2\(^{n}\)就越接近1/3,计算出来的结果就越精确。但由于受到计算器运算系统位数的限制,n和m取得过大,精度并不会提高。一般2n取1024已经足够了。因此可以把上述程序作为开立方的固定程序来记。用熟了以后,计算起来是很方便的。
上面介绍了近似计算\(\sqrt{3}\)\(^{a}\)的按键程序,那么能不能推而广之计算一些更复杂的问题呢?回答是能!比如求6a=?可使\(\sqrt{6}\)\(^{a}\)=\(\sqrt{3}\)a≈a\(^{341}\)/2048=[(a1/2\(^{11}\))11]\(^{31}\),这个式子和3a比较,只是开平方的次数比\(\sqrt{3}\)\(^{a}\)多1次,这就是说只要在按[倍喟1次就可以了。又如,求6a\(^{5}\)的值时,可使\(\sqrt{6}\)a\(^{5}\)=(\(\sqrt{3}\)a)\(^{5}\)≈(a1/2\(^{11}\))11×31×5,按键程序是:

以此类推,可以求出一个数的任意次开方。(董健廉)
不用手记也能开立方
下面我介绍一种不用手记而开立方的简便方法。我们用数学方法把13表达成下列无穷乘积:
取前面若干项的乘积,它们的值都是\(\frac{1}{3}\)的不同精度的近似值。例如:
我们可以看到,取的项数越多,其乘积就越接近\(\frac{1}{3}\)。事实上,只要取四~五项就足够准确了。在这个基础上,就可以推导出计算\(\sqrt{3}\)\(^{a}\)=a1/3的近似公式:

由上面的推导,可以得出这样的结论:如果已计算出\(\sqrt{3}\)\(^{a}\)的一个近似值X\(_{n}\),那么按下列公式就可算出另一个准确度更高的近似值Xn+1。该公式为:X\(_{n+1}\)=Xn·X\(_{n}\)(1/2)2\(^{n}\),而Xn(1/2)\(^{2}\)n就是将X\(_{n}\)连续2\(^{n}\)次开平方,这在计算器上操作是很方便的。这样我们就可以很容易地得到如下的按算方法:

上述按键程序是有规律的:显示X\(_{2}\)以后,每再按一次[×]键,则[陌炊问驮黾右槐丁U飧龇椒虻ヒ准恰⒍冶阌谠谑褂弥邪淳纫笕≈怠@1:求\(\sqrt{3}\)\(^{27}\)=?

如何掌握运算精度呢?我们认为,当1<a<1000时,取到X\(_{4}\)或X5,一般就能满足运算精度的要求了。至于大于1000(或小于1)的正数,可以先把它缩小(或扩大)10\(^{3}\)\(_{n}\)倍,使它转换成1000与1之间的数,求出该数的立方根后,再扩大(或缩小)10n倍。
例2:求\(\sqrt{3}\)\(^{27}\)000=?
\(\sqrt{3}\)\(^{0}\).027=?
先按上述方法求出\(\sqrt{3}\)\(^{27}\)≈2.9999999,于是得
\(\sqrt{3}\)\(^{27}\)000=327×10\(^{3}\)≈2.9999999×10=29.999999
\(\sqrt{3}\)\(^{0}\).027=327×10\(^{-}\)3≈2.9999999×10-1
=0.29999999
如果a是负数,则先把它的绝对值开立方,然后再加上“-”号即可以了。
将上述方法推广一下,还可以得到求\(\sqrt{5}\)\(^{a}\)的近似公式。
因为\(\frac{1}{3}\)=1;4(1+1/2\(^{2}\))(1+1/24)(1+1/2\(^{8}\))……
=\(\frac{1}{4}\)·5;4·\(\frac{17}{16}\)·257;256……
将两边同乘以\(\frac{3}{5}\)就得到:
于是,\(\sqrt{5}\)\(^{a}\)=a1/5=a\(^{1}\)/4·3/4·17/16·257/256……
读者可参考前述方法找出求\(\sqrt{5}\)\(^{a}\)的按键程序。(杨声)
开立方的又一方法
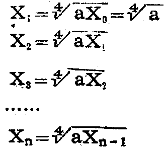
我这里提供用[⒎降挠忠环椒āR阎桓鍪齛,要求开立方。我们先假设a的立方根为X,则X\(^{3}\)=a。将此式两边各乘以X,则得X4=aX,于是X=\(\sqrt{4}\)\(^{aX}\)。这样我们就把开立方的问题化为开四次方的问题了。我们知道,用计算器开四次方,就是连续两次按动[I鲜街校琣是给出的数,X是待求的数。因为等式两边都有X,我们又不知道X是多大,所以也就无法求出aX的具体值,当然也就不能用连续按两次[姆椒ń玜X开四次方。怎么办呢?我们可以先假设4aX中的X为一确定的数X\(_{0}\)(这个数和真正的X值不会相等,因为是随意假设的,不是求出来的),于是就可以求出\(\sqrt{4}\)\(^{aX}\)0的值了。方法是将a与X\(_{0}\)相乘,再连续按两次[N颐橇頧1=4aX\(_{0}\)。因为X1是用a和假设的X\(_{0}\)两者求出来的,包含了正确的成分,所以X1一定比X\(_{0}\)接近于我们所要求的X值。试举一例,求\(\sqrt{3}\)\(^{8}\)=?根据X1=4aX\(_{0}\)可得X1=\(\sqrt{4}\)\(^{8X}\)\(_{0}\)。随意假设X0=1,则X\(_{1}\)=48×1=1.6817928,可见X1比X\(_{0}\)接近于\(\sqrt{3}\)\(^{8}\)=2。利用求出的X1值,还可再求X\(_{2}\)=4aX1,求出的X\(_{2}\)又一定又比X1接近于真正的X值。如上例中令X\(_{2}\)=\(\sqrt{4}\)\(^{8X}\)1=48×1.6817928=1.9152065,可见X\(_{2}\)更接近于2。以此类推,还可求出X3=\(\sqrt{4}\)\(^{aX}\)\(_{2}\),X4=4aX\(_{3}\),……Xn=\(\sqrt{4}\)\(^{aX}\)\(_{n}\)-1。实际上,这是一个无限次的数学逼近的过程,只要n取得足能大,求出的Xn与真正的X值误差就会很小,可以忽略不计。
前边谈到,X\(_{0}\)可以随意假设,不管X0和真正的X值相差多大,一步步求下去,总能逼近所要求的X值。只是两者相差较大时,求的次数要多一些。为简单起见,我们就固定地取X\(_{0}\)=1,于是得:

由此我们不难导出求立方根的按键程序:

我们知道,27的立方根是3,这里按了五次以后显示的数X\(_{5}\)已经很接近于3,如果认为精度还不够高,可以再继续按下去。但是,由于计算器字长(八位)的限制,像上面的例题,当n=13时,X13=2.9999999,再运算下去还是这个数,精度不会再提高了。
利用同样的推导方式,可以找出开五、六、七……次方的按键程序。下面以开五次方为例,加以说明。
设开数a的五次方。令\(\sqrt{5}\)\(^{a}\)=X, 则X5=a。两边各乘以X\(^{3}\),得X8=aX\(^{3}\),X=8aX\(^{3}\)。又令X\(_{1}\)=\(\sqrt{8}\)aX\(^{3}\)0,取X\(_{0}\)=1,则X1=8a, X\(_{2}\)=\(\sqrt{8}\)\(^{aX}\)31,X\(_{3}\)=\(^{8}\)aX32……X\(_{n}\)=\(\sqrt{8}\)\(^{aX}\)3n-1。
取a为32,则按键程序为:

读者可根据以上方法推导开任意次方的按键程序。(徐丹峰)