本文介绍的电子风琴是按键式的。当琴键按下时,可同时发出主音、伴音和颤音,音色优美。它的演奏效果较一般风琴为好。另外,本机有自动节拍装置,供学习音乐用。
工作原理
原理线路见图1。在主音振荡器电路中,单结管BG\(_{1}\)、电容C1、电阻R\(_{1}\)、R2及音阶电阻组成单管张弛振荡器,C\(_{1}\)两端输出锯齿波信号电压。这个锯齿波信号电压的频率为
f=\(\frac{1}{RC}\)\(_{1}\)ln1;1-η……(1)

式中R为各音阶电阻,取R为不同的阻值,从C\(_{1}\)两端就得到了不同频率的锯齿波,即得到了“1·”~“6·”各主音音阶信号。η为BG1管的分压比。
主音振荡器电路中还加有颤音和音调调节两部分。W\(_{4}\)与电阻R13组成分压电路,调节W\(_{4}\)就可以改变音调。这是因为主音振荡器的音阶电阻经W4接至电源,改变W\(_{4}\)阻值,在R、C1不变的情况下,就是改变了R、C\(_{1}\)的充电电源电压。这个充电电源电压不同时,就使锯齿波信号电压频率变化,整个音调同时升高或降低。在W4的旋柄适当旋转位置上刻记上“A”、“B”、“C”等调,以供选择音调用。
颤音调节电路由BG\(_{3}\)、BG4等组成。BG\(_{3}\)、W2、R\(_{7}\)、C5、R\(_{8}\)等组成单管张弛振荡器,C5两端输出的锯齿波信号电压经C\(_{6}\)、R9、W\(_{6}\)、C8等加到BG\(_{4}\)组成的射极输出器。射极输出器输出的信号经电阻R2加到BG\(_{1}\)的第二基极。当这个锯齿波信号电压幅度变化时,就相当于BG1单结管的第二基极电压在变化,这相当于BG\(_{1}\)管的η也变化,使得BG1管输出的振荡信号的频率变化,这就产生了一个围绕着主振频率作微小变化的音频,这就是颤音。颤音的频率较低,一般在3~10赫范围。电容C\(_{7}\)是用来滤波的,以免颤音太尖锐。调整W2阻值,可改变颤音频率,改变W\(_{6}\)的阻值,可调整颤音的强度。
伴音振荡器是由BG\(_{2}\)、C2、R\(_{3}\)、R4及伴音音阶电阻组成的,它也是一个单管张弛振荡器,从电容C\(_{2}\)两端输出伴音信号。改变不同的伴音音阶电阻,就可以得到“1∶”~“6”的伴音音阶信号。伴音信号频率由W3、R\(_{12}\)、C9组成的分压电路来控制。
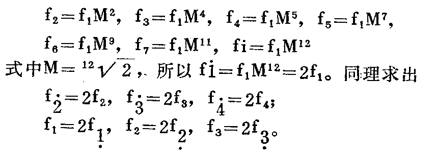
图中主、伴音各音阶电阻阻值是经过计算并实际调整后确定的。计算时先求出各音阶的对应的频率。以“A”调为例,我们知道“A”调的“1”音频率为440赫,即f\(_{1}\)=440。由于各音阶之间有一定的关系,设f2、f\(_{3}\)、f4……分别代表“2”音、“3”音、“4”音等音的频率,它们与“1”音的频率有如下关系:

从这些公式可以看出,某一音阶的频率正好为其低八度音音阶频率的两倍。根据这些公式就可以求出各音阶对应的频率。然后根据公式(1)计算出各音阶相对应的电阻阻值。一般只要求出“l”~“7”一组音阶电阻的阻值,把它们分别除2就得出“1·”~“7·”一组音阶对应的电阻值;把它们分别乘2得出“1·”~“7·”一组音阶的电阻值。同理求出伴音电路中各音阶电阻阻值。
主、伴音振荡器的按键作成双弹簧接点的,即将高、低相差八度之音频的两个开关都做在一个按键上。这样,当按下一个按键时两个振荡器(主、伴音)同时工作,而两者产生之音频相差八度,例如主音振荡器产生“1·”,则伴音产生“1”。但是,伴音不是直接通向放大器的,而是通过一伴音按键,当伴音按键常接通时,主、伴音同时发出,有如二重唱;当伴音按键一拍一拍的按下时,就象风琴的伴音。
电路中BG\(_{5}\)、BG6组成自动节拍发生器。其节拍在每秒10~0.1次之间改变。节拍音调选择开关K\(_{1-1}\)置于“1”档时,节拍器不工作。当开关置于“2”档时,输出的节拍信号类似于低音鼓声。开关置于“3”档,模拟的是高音铃声。节拍频率的选择由W5调整选择。BG\(_{7}\)、BG8、C\(_{15}\)、二极管D等组成衰减音电路。由于BG6的第一基极输出的是尖脉冲信号,当尖脉冲信号出现时,触发BG\(_{7}\)导通,此时电容C15通过二极管D、BG\(_{7}\)放电,从而使BG8处于正常放大状态,输出信号最大;当尖脉冲结束后,BG\(_{7}\)也截止,此时电容C14被充电,而充电电压越来越接近电源电压,于是BG\(_{8}\)的放大量越来越小,从而发出一个衰减音。
图2为电源电路图。当市电降到170伏时,此时电子琴仍能正常工作。

本机为简单起见未另作放大器,可利用电子管收音机的放大器部分,将电子琴的输出接至收音机的拾音插孔。若用晶体管收音机的放大部分,则应注意放大器的输入阻抗不能太低,否则阻抗不匹配。
元件选择与制作
在元器件选择方面主要有两个应注意的问题:1.图1中,要求BG\(_{1}\)、BG2两只单结管的分压比η要大小一样,且η应大于0.5;要求电容C\(_{1}\)、C2的容量要相等,最好用CZJX型纸质电容器。2.各音节电阻的阻值要准确无误,否则音调不准。由于这些电阻的阻值并非是标称值,而是用碳膜电阻刮去些碳膜的方法获得。为了测量准确,我们采用投影法。先将电阻与电位器串联后接到万用表或欧姆表上,把万用表放在灯光下,调电位器找到音阶非常准的一点记下表针的投影位置。然后换上相应的碳膜电阻,用小刀刮碳膜,当表针投影指到刚记下的位置时,就停止刮碳膜,得到一音阶电阻。用这种方法一定注意表针、表针的投影在一条线上为准。
线路图中的其它单结管无特殊要求,一般分压比η>0.3即可。三极管BG\(_{5}\)、BG7、BG\(_{8}\)用3DG型号的硅管。其余的元器件大家可以自行选择使用。
线路元器件分别安装在五块胶木板上,见封底安装图。

制作中比较复杂的是琴键。制作时,用单面敷铜板的边角料裁成75×18毫米\(^{2}\),把它中间部分的铜箔剥掉2厘米的一条如图3。并在两边敷铜部分分别焊上一条宽为0.7厘米的紫铜片见图4,并把铜片弯成要求的形状保证接触良好。铜片作按键也兼作弹簧。为了保证琴键的接触线与按键接触良好,接触线用一扁铜线作成,在扁铜线上锉出许多牙子见封底所示。焊接时应注意不要把琴键接触部分粘锡。

调整与使用
调整的主要部分是音阶电阻。调整时,首先把各个决定音调高、低的电位器W\(_{2}\)、W3、W\(_{4}\)等旋到约中间部位,同时把颤音强度电位器W6的阻值调小。然后用一电位器和固定电阻串联代替音阶电阻接入电路。调整串联的电位器,用耳朵仔细听,找出音阶准确的电位器滑臂位置,量出总串联电阻值,再换上相同阻值的固定电阻。主、伴音的各音阶电阻都要一一校准。换音调可调W\(_{4}\),也可作成步进式,分“A”、“B”、“C”等调。自动节拍、衰减音电路调整,只是要注意选择电阻R15、R\(_{16}\)的阻值,使节拍像鼓声和铃声。节拍的快慢可由W5选择。校准音调时,先按下伴音按键,然后按下主音的中音“5”按键,适当调整W\(_{2}\)、W6、W\(_{3}\)、W4等,使音色优美、音调准确,然后再开始演奏。若有沙沙噪声,可将电源插头反插试试。演奏时,不能同时按下两个按键,否则音阶不准。如发现琴键接触不好,可用沙纸将铜片磨擦几次。(邓集成)