三、馈线始端馈送功率的计算
1.二级馈电线路馈送功率的计算:一般应由下式计算:
P\(_{s}\)=Vs\(^{2}\)/Z\(_{r}\) (7)
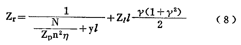
式中:P\(_{s}\)为馈线始端应馈送的功率;Vs为始端馈送电压;Z\(_{r}\)为馈线的输入阻抗。Zr的近似值可由下式计算:

式中:N为喇叭只数;Z\(_{p}\)为每只喇叭的阻抗,n为用户变压器初、次级变压比;η为变压器效率;y为线路导纳;Zl为线路每公里阻抗;l为线路长度;γ为负载分布系数,γ=F/Nl。

例:一条如图5所示的短线二级馈电线路。已知N=500;Z\(_{p}\)=9000欧;l=6公里;Zl=73欧;n=9;η=0.75;y=39×10\(^{-}\)6;试计算其输入阻抗。
负荷量F=200×2+200×4+100×6=1800;
γ=F/Nl=1800/(500×6)=0.6。
将以上数据代入(8)式,得:
Z\(_{r}\)=1500;9000×9\(^{2}\)×0.75+39×10-6×6+73×6×0.6(1+0.6\(^{2}\))2
=1048欧。
根据图5中线路始端馈送150伏,线路输入功率为
P\(_{s}\)=150\(^{2}\)/1048=21.5瓦
运用以上公式计算比较麻烦,下面再介绍一种比较简单的计算方法,即用线路所带喇叭只数乘每只喇叭所需功率,就能算线路始端应馈送的功率。每只喇叭所需功率,等于其工作电压的平方除以每只喇叭的阻抗。如果每只喇叭的工作电压都按所选村内用户线始端电压标准的上限值考虑,这样算出来的馈线始端所需馈送的总功率中,就把线路传输中所损耗的那部分功率也包括了进去。此外,还应把用户变压器的效率考虑在内。这样,馈线始端应馈送的功率可由下式求出,即
P\(_{s}\)=(V\(^{2}\)NS/Z\(_{p}\)η)N (9)
式中:V\(_{NS}\)为选用的村内用户线始端电压的上限值;η为用户变压器效率,按75%计算。
在上例(图5)中,上限值为17伏,将有关数据代入(9)式即可算出P\(_{s}\)为
P\(_{s}\)=(17\(^{2}\)/9000×0.75)×500=21.4瓦
这种简易算法的结果与上面(8)式计算的结果很接近,虽然不太精确,但已可满足一般工作需要。另外,这种方法可以算出一部已知瓦数的扩音机,在村内用户线始端电压选用某种标准时能够带多少只喇叭,或者需要安装某种数量的喇叭,在村内用户线始端电压选用某种标准时,可算出应有多大瓦数的扩音机来带动。
2.一级馈电线路始端馈送功率的计算:这可采用下面的近似计算公式:
P\(_{s}\)=Vs\(^{2}\)/(Z\(_{N}\)+Zll) (10)
式中:Z\(_{N}\)为线路终端村内用户线所带喇叭的并联阻抗,它等于每只喇叭的阻抗(9000欧)除以喇叭只数;l为线路长度,这里是由线路始端到自然村之间的距离;其他符号意义同上。
例如,一条线径2.0毫米单线一级馈电线路,带自然村的100只喇叭,由这个自然村到线路始端的距离为2公里,线路始端馈送电压为30伏,线路始端馈送功率将为:
P\(_{s}\)=30\(^{2}\)/(90+73×2)=3.8瓦
为了适应大家计算配接线路的需要,表4上列出了二级馈电线路的喇叭只数、功率对照数据。

四、计算配接实例
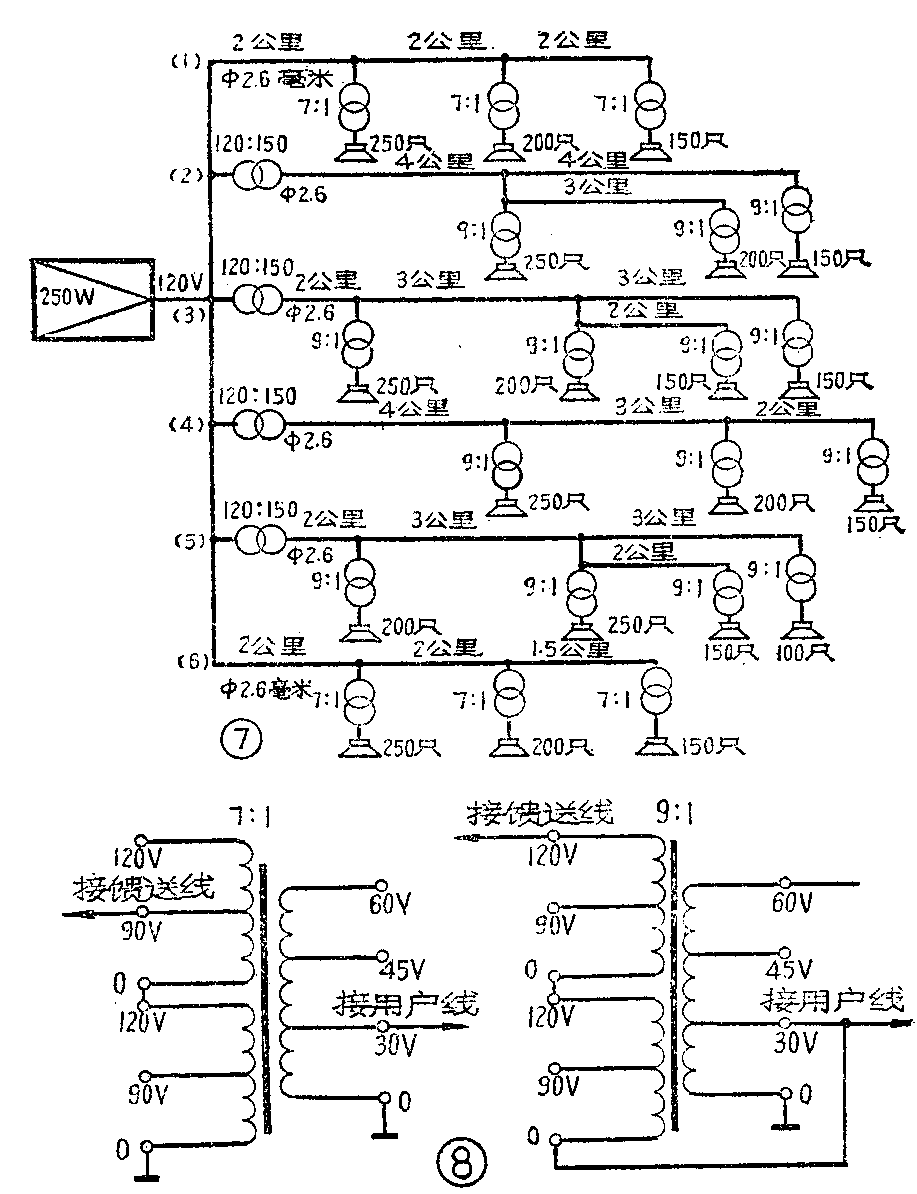
1.二级馈电线络计算实例:某一公社广播放大站,共有12条线径2.6毫米的单线广播线路,长度都在10公里以内,该公社现有广播喇叭8000只,由一台输出功率500瓦、输出电压120伏的某型扩音机带动,每个250瓦机层各带6条馈送线路和4000只喇叭。试按上述方法进行计算配接。
首先计算配接如图6所示的第一个250瓦机层所带的6条线路。

第一步:按图6分别计算出各条线路的负荷量。例如第一条线路的负荷量F\(_{1}\)为:
F\(_{1}\)=2×250+4×200+6×150=2200;
用同样方法可分别算出其他各条线路的负荷量为:
F\(_{2}\)=3600;F3=3750;F\(_{4}\)=3750;F5=3500;F\(_{6}\)=2125。
第二步:确定村内用户线始端电压标准和线路配接方法。根据该站扩音机功率和喇叭数量可采用12~17伏的乙种标准。查表3可以确定应采用的用户变压器变压比和线路始端馈送电压。
由表3可知,2.6毫米单线线路始端馈送120伏时,如采用乙种标准,则用户变压器的电压比为7∶1,容许负荷量是2338。从上面计算负荷量的结果看,线路(1)和线路(6)的实际负荷量在此范围内,可按这组数据进行配接;当线路始端馈送电压为150伏时,用户变压器电压比是9∶1,容许负荷量是3864,线路(2)、(3)、(4)、(5)的实际负荷量都在此容许范围内,可采用这组数据进行配接。
第三步:计算各条线路的馈送功率。
由表4查得,在村内用户线路始端电压采用乙种标准时,把用户变压器的损耗计算在内,每只喇叭应供给的功率为0.043瓦,用这一数值乘各条线路所带喇叭只数,即可得出该条线路始端应馈送的功率。如线路(1)的馈送功率P\(_{S1}\)=0.043×600=25.8瓦;同样可算出其他各条线路的馈送功率PS2=25.8瓦;P\(_{S3}\)=32.25瓦;PS4=25.8瓦;P\(_{S5}\)=30.1瓦;PS6=25.8瓦。
线路(1)、(6)的馈送电压都是120伏,可以直接与扩音机的输出配接;而线路(2)、(3)、(4)、(5)都是需要150伏电压,因此,在扩音机和这些线路之间,还需要加装馈送变压器进行变压。馈送变压器的效率按80%计算,对于扩音机来说,6条线路的总馈送功率为:
P\(_{总}\)=25.8+32.25+25.8+30.10.8+25.8+25.8
=194瓦。
第四步:进行线路和扩音机的配接,并绘出具体配接图。在配接时应掌握好线路的总输入功率不要大于扩音机的输出功率。
根据以上计算结果,该公社放大站的第一个250瓦机层与所带线路的具体配接如图7所示;用户变压器接线如图8所示;馈送变压器的接线如图9所示;用户变压器和馈送变压器的瓦数,均应大于所带负载喇叭的需要功率。


第二个250瓦机层的计算配接方法相同,不再重复。
2.一级馈电线路计算实例:某一大队广播放大站,有一部50瓦定阻输出扩音机,带5个自然村的广播喇叭,其线路分布如图10所示。试计算其配接方法。

第一步,计算出各条线路的实际负荷量分别为:F\(_{1}\)=200;F2=200;F\(_{3}\)=225;F4=120;线路(5)为大队所在自然村的村内用户线,因其没有村外用户线部分,故不再计算负荷量。对于这种村内用户线,只要按照上述在1公里范围内所带喇叭不超过50只的规定考虑就行了。
第二步:计算各条线路的始端馈送电压。一级馈电线路可根据各条线路的实际负荷量和所确定的终端电压数值,由表2中查出其始端应馈送的电压数值;如要更精确地得出线路始端应馈送的电压数值,就需把各条线路的有关数据代入(6)式进行计算。如选取村内用户线始端电压V\(_{N}\)为10伏(扩音机输出功率有富余也可选用15伏),可求出第一条线路始端馈送电压VS1为:
V\(_{S1}\)=VN(\(\frac{FZ}{_{l}}\)Zp+1)
=10×(\(\frac{200×73}{9000}\)+1)=26伏;
同样可算出其他各条线路始端应馈送电压分别为V\(_{S2}\)=26伏;VS3=28伏;V\(_{S4}\)=20伏;线路(5)为放大站所在地的村内用户线,其馈送电压也就是村内用户线的始端电压,可根据具体情况选用10~15伏电压馈送。
第三步:计算扩音机各输出端子与地之间的各相应输出电压,并与线路进行配接。
该放大站所用的50瓦扩音机的输出阻抗为:0—4Ω—8Ω—16Ω—250Ω。其各输出阻抗相对应的输出电压可用V=\(\sqrt{PZ}\)式计算,例如0—4Ω间的电压为50×4=14.2伏;0—8Ω、0—16Ω和0—250Ω的电压分别算出为20伏、28.4伏和112伏。
从扩音机各阻抗端子的相应输出电压来看,基本上可以适应以上各条线路始端馈送电压数值的要求。因此,在扩音机和各条线路之间不用再加变压器变压,而将各条线路按图11直接接到相应的端子上。

第四步:计算各条线路的输入功率,与扩音机的输出功率进行匹配。
将各条线路的有关数据代入(10)式,可求出各条线路的馈送功率,例如第一条线路的馈送功率P\(_{S1}\)为:
P\(_{S1}\)=VS1\(^{2}\)/(Z\(_{N}\)+Zll)
=28.4\(^{2}\)/(112.5+73×2.5)=2.7瓦。
同样可算出线路(2)、(3)、(4)、(5)的馈送功率分别为3.4瓦、4.8瓦、2.7瓦、4.5瓦。
五条线路的总输入功率为:
P\(_{总}\)=2.7+3.4+4.8+2.7+4.5=18.1瓦。
该放大站的50瓦扩音机,除带上述五条线路之外,还有30多瓦的功率富余,还可以在0—8Ω(20V)的输出端子上,再带一只16欧、25瓦的高音喇叭(其工作电压为\(\sqrt{25×16}\)=20伏);或者在该输出端子上带两只相互串联的8欧、12.5瓦高音喇叭(每只工作电压为12.5×8=10伏)。如不带高音喇叭,还可以再多带一部分舌簧或压电喇叭;或者适当提高当地各村内用户线的始端电压标准,使总的线路输入功率能配得基本上等于或接近扩音机的输出功率,才能保证扩音机输出匹配,工作正常。(河南省广播事业局 杨学林)