当我们观察一部唱机的时候,若旋动唱臂,可以发现唱针的尖端并不经过唱片的中心。多观察几部唱机,我们还可以发现,当旋动唱臂,使唱针尖端、唱臂支点、和唱片中心在一条直线上时,有些唱机的唱针尖端够不着唱片中心,也有些唱机的唱针尖端超过了唱片中心。如果观察得仔细一些,我们就发现:那些唱针尖端够不着唱片中心的唱机,它的唱臂是直的;唱针尖端超过了唱片中心的唱机,它的唱臂是弯曲的(注)。
从唱臂支点到唱针尖端的长度叫做唱臂的臂长,从唱臂支点到唱片中心的距离叫做唱机的支距。唱针的型式影响臂长,换用直柄唱针和曲柄唱针时应该注意。
唱针尖端够不着唱片中心的意思是:臂长小于支距,这种情形叫做唱臂欠长。
唱针尖端起过了唱片中心的意思是:臂长大于支距,这种情形叫做唱臂超长。
为什么要使唱臂欠长或超长呢?总结地说,就是要使唱机的谐波失真,在奏放全程内,不超过一定的限度,并且使平均谐波失真最小。
我们都知道,唱片的录音槽纹是螺旋线,唱针尖端顺着螺旋线的录音槽纹,从唱片边缘逐渐旋向唱片中心。但是,唱片每旋转一周,唱针尖端只向唱片中心旋动一个很小的距离。这个距离,用普通唱片只不过1/4公厘左右,用细纹唱片只不过百分之一公厘左右。所以,每一周录音槽纹的形状和圆形极为接近,可以用一个圆来代表它。
在图1中,A点是唱片的中心,B图代表某一周录音槽纹,C点是唱针尖端在B圆上的位置。经过B圆的C点画一条切线DE,再经过C点画一条垂直于唱针振动方向的直线,这条直线叫做唱头的轴线,如FG所示。切线DE和轴线FG之间所夹的角叫做差角,如α所示。

实验的结果证明:对于给定的唱机,奏放唱片的谐波失真和差角α成正比,而和唱片中心至唱针尖端的距离r成反比。合起来说,对于给定的唱机,奏放唱片的谐波失真和\(\frac{α}{r}\)成正比。α;r越大,谐波失真越大;\(\frac{α}{r}\)越小,谐波失真也越小,于是我们规定α;r为唱机的失真系数。
使唱臂欠长或超长的目的,就是尽可能地在奏放全程内,使唱机的失真系数减小。

现在看图2。圆A代表唱片上最大半径的录音槽纹,也就是,最靠近唱片边缘的录音槽纹。圆B代表唱片上最小半径的录音槽纹,也就是,最靠近唱片中心的录音槽纹。C、D是唱针尖端旋动时在圆A、B上的交点,E是唱片中心,ED是唱片录音槽纹的最小半径r\(_{1}\),EC是唱片录音槽纹的最大半径r2,F是唱臂的支点。若唱臂是直的,FC和FD都是唱头的轴线。
可以看出,差角α不是一个常数,对于任何实用臂长,它都将随半径r的增减发生显著的改变。
问题就在这里了,如果使C点的α\(_{2}\)为零,D点的α1就会太大,见图3;反过来,如果使D点的α\(_{1}\)为零,C点的α2就会太大。这两种情形都会使谐波失真的数值变化过大,所见比较合理的办法是使

而使任何一点的失真系数都不超过\(\frac{α}{_{1}}\)r1或α\(_{2}\);r2
要满足这个条件,应使直臂唱头的欠长
l=D-L=\(\sqrt{L}\)\(^{2}\)+K\(_{r}\)-L…(2)
式中D=支距,L=唱臂长,
K\(_{r}\)=\(\frac{2r}{^{2}}\)1r2\(_{2}\)r\(^{2}\)1+r2\(_{2}\),
l的单位和所用L、r\(_{1}\)和r2的单位一致。
按式(2)取欠长,可以满足式(1)的条件。这时,差角α在奏放过程的中部一点(在此点,r=\(\sqrt{(}\)2L+l)\(^{l}\),为零,失真系数平均地减小了, 见图4。

然而仅仅这样做并不能充分令人满意。既然奏放唱片所产生的谐波失真和差角α成正比,那么我们要问:把唱臂弯曲一下,差角岂不是会更小些?
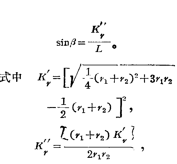
事实的确如此,若唱臂的曲角(图5)为β,弯曲唱臂可风使差角从α减小为α—β(图6),结果就大大地减小了差角和谐波失真。这就是直臂唱头,在现代生产上,处于被淘汰地位的缘故。


为了使曲臂唱头的平均失真最小,应使曲臂唱头的超长

并使

l'的单位也和所用L,r\(_{1}\),r2的单位一致。
对于给定的L、r\(_{1}\)和r2,曲臂唱机不但只有一个最合适的超长l',并且只有一个最合适的曲角β。因此,根据254公厘直径的唱片所设计的唱机,在奏放其它尺寸的唱片时,便不能获得最好的效果。若唱片大于254公厘,奏放初程的谐波失真将过大;若唱片小于254公厘,奏放全程的平均谐波失真将超过可能获得的最小数值。
由于流通的唱片有好几种尺寸,我们建议:唱机制造者,研究可以调节起长的臂支,和可以调节曲角的唱臂。
(注):有些唱机由于装置欠妥,而使直臂超长或曲臂欠长,故在实际测量时往往发现例外。


