极速魅力——17英寸8ms液晶显示器导购
选购新干线
曾几何时,8ms液晶显示器是很多消费者可望而不可及的奢侈品。在经历了今年春天的液晶显示器价格战后,市场中的8ms液晶显示器价格也降到了大众能够接受的价位,其购买价值也变得更高。当17英寸8ms液晶由最初的4000元降到2500元的时候,我们发现原来8ms液晶的售价并不是那样的高不可攀。自从17英寸液晶显示器成为市场主流以来,2500元便成为了这类产品的价格定位。如今8ms液晶显示器也降到了这个价位,看来无论是游戏玩家还是普通用户,买台8ms液晶显示器来度过这个夏天,是相当不错的选择。
8ms液晶成市场主流
去年下半年,明基和优派两大厂商率先推出了8ms响应时间的17英寸液晶显示器,当这两个品牌的8ms液晶显示器上市的时候,许多人都认为这已经是液晶显示器能够达到的最高响应时间了。毕竟8ms的响应时间比当时主流的16ms已经快了一半,即使是相对12ms液晶显示器也有较大的提高。当然这种观点已随着产品的发展而发生了改变。在8ms响应时间前实际上应该有“黑白”二字的前缀,因为液晶显示器在灰色色彩过渡时并不能达到理想值,所以就出现了“灰阶响应时间”这一概念。对于普通消费者来说,研究“灰阶响应时间”这一概念并没有实际意义。但是由于新技术的推出,8ms响应时间已经不再代表着高端,8ms液晶显示器已经成为各厂商主打液晶显示器的标准,同时也是价格战的主力军。
最初的导火索是宏碁的AL1715这款17英寸液晶显示器,虽然该款液晶显示器拥有8ms的响应时间,但却能以2350元的低价上市销售,这个价格确实吸引了大家的眼球。其他品牌不得不纷纷跟进,这样就加快了8ms液晶显示器的普及速度。仔细算来,从最初的明基和优派对8ms液晶显示器市场的“两分天下”发展到现在诸厂商的“群雄逐鹿”也只有大半年的时间。由此可见目前液晶显示器市场份额争夺已经非常激烈,8ms液晶显示器的价格已经基本确定在2400元~2800元的价位上,消费者如购买17英寸液晶显示器应该首选8ms产品。
8ms液晶性价比最佳
几乎是在不知不觉中,8ms液晶显示器的价格降到大众能够接受的范围。主流的8ms液晶显示器只需2500元就可以买到,少数品牌的特价产品正试图突破2300元大关。就目前的市场行情来看,8ms液晶显示器的价格已经降到消费者的心理价位,已经到了“该出手时就出手”的地步。
在整个DIY零售市场中,17英寸液晶产品早已成为了显示器领域的绝对主流,而2500元则成为了主流产品的价格水平线。在16ms液晶显示器最初替代25ms或30ms液晶显示器的时候,2499元就是其最具震撼力的价格。即使25ms或30ms的液晶产品依靠低价来争取价格优势,仍然无法逃脱最终被替代的命运。到如今,被替代的命运轮到16ms液晶显示器来承受,因为号召力更强、性能更出色的8ms液晶显示器已经降到2499元的价位。
从目前8ms液晶显示器的普遍售价来看,2500元仅仅比16ms的17英寸液晶显示器贵300元而已。对于游戏玩家来说,多花300元便可以体验到更真实的游戏画面,这种投资是绝对划算的。即使对于普通用户来说,这样的花费也并不算昂贵。毕竟新一代8ms响应时间的液晶显示器可以为用户带来更快的响应时间。
液晶的响应时间
随着液晶显示器的普及,响应时间这一概念已经深入人心。很多消费者在选购液晶显示器的时候,都以液晶显示器的响应时间作为重要的选购参考指标。那么响应时间究竟代表着什么呢?为何以前的CRT显示器没有这样的性能参数呢?这需要从液晶显示器的原理来分析。液晶显示器,英文通称为LCD(Liquid Crystal Display),是属于平面显示器的一种,按驱动方式来分类可分为静态驱动(Static)、单纯矩阵驱动(Simple Matrix)以及主动矩阵驱动(Active Matrix)三种。其中,被动矩阵型又可分为扭转式向列型(Twisted Nematic;TN)、超扭转式向列型(Super Twisted Nematic;STN)及其他被动矩阵驱动液晶显示器;而主动矩阵型大致可分为薄膜式晶体管型(Thin Film Transistor;TFT)及二端子二极管型(Metal/Insulator/Metal;MIM)两种方式。
液晶是一种介于固态和液态之间的物质,由于液晶本身并不能主动发光,所以还需要灯管的照明才能呈现图像。因为液晶介于固态和液态之间,所以可以通过对电场的调整,来控制液晶分子的排列。如今最为普遍的液晶面板当属TFT产品。由于液晶分子被夹在中间,两边就是控制通光量的取向层。在没有施加电压的时候,液晶分子按照初始状态排列,光线可以顺利通过液晶(图1),此时屏幕呈现为白色。在施加电压之后,液晶分子的排列发生了改变,光线不能顺利通过液晶(图2),最终屏幕呈现为黑色。对液晶分子施加电压并使之发生偏转,这个过程就需要一定的时间。液晶分子由白场转为黑场,再由黑场转回白场,这两个时间之和被称为全程响应时间(Tr上升+Tf下降),这就是通常我们所说的“响应时间”。有些奸商介绍液晶显示器的响应时间时,就是依据Tr和Tf中的任意一个值来欺骗消费者的。



液晶面板的生产工艺
提高液晶面板的响应时间,其实就是尽量降低上升时间Tr与下降时间Tf,加快液晶分子的排列速度便可以提高液晶显示器的响应时间。
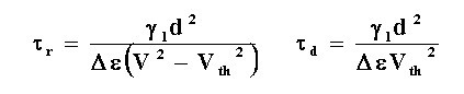
液晶响应时间公式:

γ1:(液晶材料)粘滞系数
d:(液晶单元盒)分子间隙
V:(液晶单元盒)驱动电压
Δε:(液晶材料)介电系数
为了提高液晶显示器的响应时间,我们必须减小粘滞系数和分子间隙这两个参数,或者增大驱动电压和介电系数这两个参数。其中液晶面板的粘滞系数和介电系数都是直接与液晶材料本身的特性密切相关的,研发人员需要经过反复试验,并进行多方面的对比测试,才能找到一种稳定且满足高速响应时间的液晶面板。同时依靠生产工艺来降低液晶分子的分子间隙,使液晶分子移动距离更短。并有效缩小液晶电极板的距离,同样可以实现相同电压下液晶分子快速移动地目的。
当然8ms液晶面板自从投产以来,并没有遇到太多的问题。液晶面板生产厂商的良品率也在不断提高,不到半年时间,8ms液晶面板生产线就成为厂商的主力军,并大量供货给显示器生产厂商。因此出现了8ms液晶显示器在近期大打价格战、集体“大跳水”的局面。虽然8ms液晶显示器上市时间不算太长,但8ms液晶显示器已经算得上是相当成熟的产品,毕竟面板生产线以及显示器生产厂商都对这项技术十分有把握,所以消费者可以放心购买。
游戏玩家的真正需求
自从液晶显示器进入到主流市场以来,延迟和拖尾两个概念成为游戏玩家考虑得最多的问题。响应时间决定了显示器每秒所能显示的画面帧数,通常当画面显示速度超过每秒24帧时,人眼会将快速变换的画面视为连续画面,不会有停顿的感觉,所以响应时间会直接影响使用者的视觉感受。当响应时间为30ms时,显示器每秒钟能显示1/0.030=33帧画面;当响应时间达到12ms时,每秒钟就能显示1/0.012=83帧画面;当响应时间达到8ms时,每秒钟就能显示1/0.008=125帧画面。现在市场的主流液晶显示器响应时间都已经在16ms以内,可实现基本无延迟的流畅画面。
但是在播放DVD影片或运行FPS游戏时,则要达到每秒60帧以上的效果,否则就会出现拖尾现象。这样一来,就只有响应时间在16ms以内的液晶显示器才能够满足要求。当然拒绝延迟和拖尾是游戏玩家的基本要求,游戏玩家还要经受传统CRT显示器的挑战。一般情况下,CRT显示器的刷新频率会设定在85Hz或100Hz。按照频率的基本理论来分析,也就是显示图像每秒闪动85次或100次,而8ms液晶显示器每秒会出现125帧画面,人眼也因此体验到了更加流畅的画面效果。当然这些都是在理想情况下得到的理论值,在专业评测人员利用高连拍数码相机进行视频图像捕捉时,甚至5ms的顶级液晶显示器仍然与CRT显示器存在着一定的差距。当然这种情况只出现在评测结果中,在真正的游戏画面中,人眼根本无法分辨出8ms液晶在显示图像时所出现的拖尾现象。也就是说,对于大多数游戏玩家来说,8ms液晶显示器应该是他们的首选。
不可忽视的亮度和对比度
液晶显示器显示亮度的高低决定着画面层次是否丰富,对于一些像CS或DOOMⅢ之类的射击游戏来说,更高的亮度有助于玩家发现黑暗中的敌人。对于游戏玩家来说,显示器的亮度值较高是最好的。游戏玩家在选定8ms液晶显示器的同时,还应该考虑液晶显示器的亮度问题。当然亮度越高似乎就代表着更加刺眼,在购买时也要考虑有丰富功能调节的液晶显示器产品。目前市场中还出现了“多模式”液晶,它会根据视频播放、游戏画面、文本显示这些不同的应用来提供不同的显示方案,可以方便用户的使用。
此外,液晶显示器的对比度也是极为重要的性能参数。毕竟液晶显示器的背光源是持续亮着的,而液晶面板并不可能完全阻隔光线,因此液晶显示器要实现全黑色的画面比较难。同等亮度条件下,黑色越深,显示色彩的层次就越丰富,所以液晶显示器的对比度也是非常重要的。一般人眼可以接受的对比度在250∶1左右,低于这个对比度就会让人感觉模糊或灰蒙蒙的。对比度越高,图像的锐利程度就越高,图像也就越清晰。一般CRT显示器对比度可以达到500∶1甚至更高,而液晶显示器对比度能达到500∶1就算是很好的了。通常的液晶显示器对比度为300∶1,进行文档处理和办公应用足够了,但玩游戏和看影片就需要更高的对比度才能取得更好的效果。
产品推荐
AOC 174F

该款液晶显示器采用了灰白亮色结合的外观设计,金属材质的外壳。由于采用了外置电源设计,因此机身显得非常的纤薄,最薄处仅为20mm,将该款产品的轻薄纤巧发挥到了极致。同样金属材质的L形底座直接连接机身,看上去十分轻巧,给人一种前卫时尚的全新体验。它的对比度为500∶1,亮度为300cd/m2,水平/垂直可视角度为140度/130度,采用了VGA接口,并通过了TCO’99认证。该款显示器具有AOC的“随心彩、随心调、随心亮、随心快”四大功能,通过选择适合自己的模式来对显示器进行操控,给用户的使用带来了很大的便利。
卖点:出色而时尚的外观设计
飞利浦170B6

该款液晶显示器采用了白色的外观,由于底座采用了双轴式设计,所以调整屏幕高度非常方便。它的对比度为500∶1,亮度为250cd/m2,水平/垂直可视角度为160度/140度,采用了VGA和DVI接口,并通过了TCO’03认证。显示器本身具有一个USB接口,用户可以随时将U盘或其他数码设备迅速连接上。该款显示器同时承诺“完美面板”,保证整个液晶屏没有任何亮点、坏点、暗点,如果有即可获得飞利浦提供的免费更换服务。此外,该款液晶显示器还采用了环保的无铅工艺制造,其超低的功耗也为用户节省了不少开支。
卖点:优秀品质的“完美面板”
优派VE710S

该款液晶显示器采用了银色的外观设计,具有8ms响应时间,对比度为500∶1,亮度为260cd/m3,水平/垂直可视角度为160度/145度,采用了VGA接口,并通过了TCO’99认证。其个性化的电源锁定,可以防止他人随意更改显示器的各项设定。“AutoTune”一键自动式最佳设定方便普通用户使用。由于VE系列主攻娱乐和教育消费市场,所以最明显的特点就是拥有了较高的性价比。
卖点:名牌大厂的低价普及型产品
明基FP71E+

该款液晶显示器采用了亮银色搭配深蓝色的外观设计,窄边框和薄面板看起来更加时尚前卫。它的对比度为500∶1,亮度为300cd/m2,水平/垂直可视角度为140度/130度,采用了VGA和DVI双接口,并通过了TCO’03认证。该款液晶显示器还拥有明基最新的“Senseye”技术,提供了四种应用模式(标准/电影1/电影2/图片),让液晶显示器展现出更优秀的影像品质。
卖点:VGA/DVI双接口
三星713N

该款液晶显示器采用了纯白色的外观,窄边框和简约的底座设计。它的对比度为600∶1,亮度为300cd/m2,水平/垂直可视角度为160度/160度,采用了VGA传输接口,并通过了TCO’99认证。采用了三星独特的两大魔技“魔调”和“魔亮”,新的魔调可以让用户对液晶显示器的调节控制更得心应手,并提供了更多的调节选项。新的魔亮可实现文本、互联网、游戏、运动、剧场的亮度选择,并保持了个性化设定选项。该款显示器没有采用DVI接口,因此价格较低。
卖点:三星独有的“魔技”技术
LG L1740BQ

该款液晶显示器采用了黑色的外观设计,具有8ms响应时间,对比度为550∶1,亮度为250cd/m2,水平/垂直可视角度为160度/160度,采用了VGA接口,并通过了TCO’99认证。该款显示器采用了LG独创的“f-Engine”复真芯片,能够对液晶显示器的亮度和对比度等色彩指标进行综合调整。该款显示器作为LG新近推出的主打产品,承诺消费者100%无亮点,这对于那些追求品质的用户来说是一个非常不错的选择。
卖点:无亮点承诺服务
美格T7

该款液晶显示器采用了黑色的外观,超窄的边框设计。对比度为500∶1,亮度为300cd/m2,水平/垂直可视角度为140度/130度,采用了VGA接口。另外产品采用了玻璃镜面屏,视觉感受更好。此外,该款显示器在液晶面板前增加了2mm厚的高强度树脂,因此可以保护液晶面板不会因受到意外冲击而损坏。
卖点:高强度树脂面板保护层
宏碁(Acer)AL1715

该款液晶显示器采用了黑色简洁的外观设计,还有最为流行的窄边框设计,便利的椭圆形底座和独有的电源线收纳夹,可以让显示器连接线更加井然有序。这台具有8ms响应时间的17英寸液晶显示器,对比度为500∶1,亮度为300cd/m2,水平/垂直可视角度为140度/130度,采用了VGA接口,并通过了TCO’99认证。
卖点:售价低