GeForce 6200A评测·导购专题
横向测试
市场与技术篇
NVIDIA主力上阵
GeForce 6200A之全面剖析
近一年来,500元~700元低端AGP显卡市场中,ATi凭借一款Radeon9550赚得盆满钵满,NVIDIA方面的GeForce系列一直没有强有力的低端产品抵挡Radeon9550,另一方面,尽管Intel极力推动PCI-E平台,不过却因升级平台的价格过高等因素导致PCI-E显卡无法在短期内取代AGP显卡成为市场主流。NVIDIA要想在目前市场占有率最大的主流AGP显卡市场中重振雄风,就需要一款有特别卖点、性价比突出的产品,GeForce 6200A这时应运而生。
NV44A的前世今生
GeForce 6200A由PCI-E接口的GeForce 6200衍生而来,大概不少用户都会以为它是由PCI-E接口的GeForce6200加桥接芯片实现对AGP 8×的支持,其实不然。GeForce 6200A是一款原生AGP 8×显卡。目前AGP接口的GeForce 6200系列主要有两款不同的产品,从后面的表格可以看出它们之间以及和Radeon 9550的区别。
为什么在如今流行PCI-E芯片加桥接芯片回归AGP 8×的时期,NVIDIA会推出原生AGP 8×接口的GeForce 6200A呢? GeForce 6200A使用的是NV44A图形核心,从编号上可以看出它是在GeForce 6200TC所使用的NV44核心的基础上发展而来的,它基于0.11微米制造工艺,具有4条像素渲染管线和3组顶点单元,具有GeForce6系列产品所拥有的图像特效。值得一提的是,GeForce 6200A是目前AGP平台上惟一一款对Shader Model3.0提供支持的入门级显卡。另外一个原因就是NVIDIA需要一款强有力的产品打破其在低端市场产品众多却无一可以对抗Radeon9550的尴尬局面,此外,由于NV44A采用原生AGP图形核心,可以降低总成本,和重新设计支持AGP 8×核心所花费的研发费用相比,大量的桥接芯片价格的确是太高了。
由此可以看出,GeForce 6200A具备的特点使其非常适合担当NVIDIA中低端显卡市场的主力。这股注入主流市场的新鲜血液,能否掀起一阵热潮呢?首先让我们来仔细了解一下GeForce 6200A的详细特点。
与NV43-V一脉相承
GeForce 6200A具备的特性和GeForce 6200相关,让我们首先了解一下GeForce 6200的特性。

GeForce 6200属于NVIDIA的GeForce 6系列的中低端产品,具备和GeForce 6600一样的核心,不过核心频率/显存频率有所降低,同时去掉了色彩缓存压缩、深度缓存压缩两项技术,此外渲染管线从8条减到了4条,为了方便区分,GeForce 6600的核心为NV43,而GeForce 6200的为NV43-V。GeForce 6200支持最新的Shader Model 3.0,还支持PureVideo、HDTV等视频技术。可以说,GeForce 6200是一款极具潜力的产品。
由于GeForce 6200A经过了改进,所以在特性方面与GeForce 6200有所不同。一方面GeForce 6200的渲染管线是4条为一组,而GeForce 6200A则是2条一组,这样做可以降低晶体管数量,节约成本。GeForce 6200A的最大改变是核心内存控制器仅支持64bit显存,这在很大程度上节约了制造成本。

GeForce 6200A的优与劣
和它的主要对手Radeon 9550相比,GeForce 6200A在技术上具备明显优势。首先它支持Shader Model 3.0(包含Vertex Shader 3.0及Pixel Shader 3.0),这项技术已经逐渐被应用在游戏中,去年底以及今年上市的游戏大作例如《半条命2》、《分裂细胞》等游戏都提供了对Shader Model 3.0的支持,如果显卡不支持Shader Model 3.0,整个游戏画面会大打折扣。
尽管承袭GeForce6系列显卡的血脉,GeForce 6200A想很轻松地打败Radeon 9550也是不太可能的。GeForce 6200A的最大劣势就是它的64bit显存控制器。虽然在常规环境下,GeForce 6200A的性能可以轻松超越Radeon 9550,但64bit显存位宽在显卡处理大量数据的时候就会显得有些捉襟见肘,比如开启全屏抗锯齿等特效后,整体性能就会大大下降。不过GeForce 6200A变化多端的特性多少会弥补这个不足,比如GeForce 6200A可以搭配高频率的GDDR3显存,这样的话,GeForce 6200A的性能就会突飞猛进。
主流用户的好选择
正如前面所分析的GeForce 6200A特性,性能属于主流水平,售价相对便宜,所以其定位的用户群正是主流用户。如果对整机游戏性能要求不高,选择稳定的公版GeForce 6200A,想超频使用的用户,则可以选择超频性能稍强的“超频版”、“加强版”产品。虽然目前GeForce 6200A的上市价格约600元左右,要高于Radeon 9550,不过随着时间的推移,待到GeForce 6200A产品进一步丰富后,其价格必定和Radeon 9550相当,甚至还要低于Radeon 9550。
产品测试与推荐篇
N族主力全面反击
12款主流GeForce 6200A显卡横向评测
GeForce 6200A作为NVIDIA面向中低端用户的主力产品,将直接与ATi的Radeon 9550抢夺主流用户市场,因此它是一款用来“冲量”的普及型产品。这一类“冲量”的产品其实是显卡厂商的最爱,因为它巨大的销售量将带来丰厚的利润,因此GeForce 6200A理所当然地成为了各家显卡厂商各显神通的对象。正因为厂商在GeForce 6200A产品上大下功夫,市场上的GeForce 6200A产品非常丰富,各自的特色也十分明显,消费者在选择的时候犯难也是必然的。所以《电脑报》数字实验室特地选择了市场上主流的12款GeForce 6200A显卡进行横向测试,目的就是帮助大家选出最适合自己的GeForce 6200A显卡。
我们的测试方案

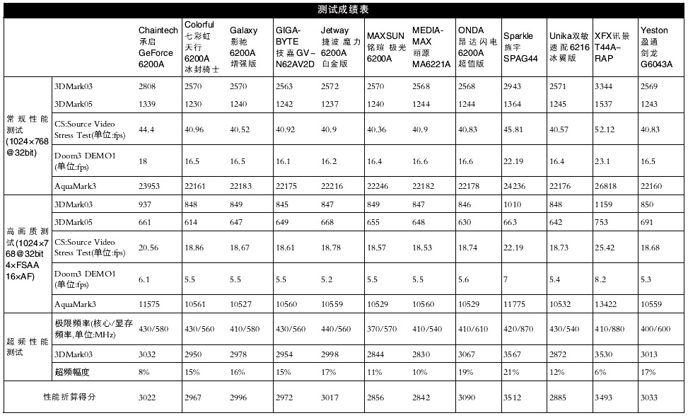
本次测试一共有12款GeForce 6200A显卡参加。我们分别选择了3DMark03/05、CS:source、AquaMark3来对显卡的Direct3D性能进行测试,同时也选择了DOOM3来考查显卡的OpenGL游戏性能。除了常规画质测试外,我们还加入了开启4×FSAA(全屏幕抗锯齿)和16×AF(各向异性过滤)的高画质测试,考查显卡在高画质环境下的性能。此外,我们还对所有参测的显卡产品进行了超频测试,并将超频后的3DMark03得分作为3DMark03极限分数,超频后的3DMark03得分提升幅度则作为超频后性能提升幅度。最后的性能得分计算方法是:常规环境下的3DMark03得分+超频后性能提升幅度×常规环境下参测显卡的3DMark03平均分,其他测试成绩则作为参考。最后我们通过综合评定性能得分和价格因素选出最值得推荐的产品。
特别测试:
GeForce 6200A VS Radeon 9550
既然GeForce 6200A是直冲Radeon 9550而来,相信大家都想了解一下它们之间的性能差距到底有多大。于是我们选择了采用公版设计的Radeon 9550在我们P4 2.8E GHz的测试平台上进行了测试,将GeForce 6200A与Radeon 9550的测试成绩进行了一个对比。
很明显,虽然GeForce 6200A的显存位宽只有64bit,但是凭借较高的工作频率,仍然在常规环境下轻松地超过了Radeon 9550,3DMark03得分大约比Radeon 9550高了17%左右,只是在高画质模式下,GeForce 6200A要略逊于Radeon 9550。另外,GeForce 6200A支持Shader Model3.0,在新的图像特效支持上要强于Radeon 9550。

GeForce 6200A能玩《魔兽世界》吗?
《魔兽世界》作为目前最火热的大型3D网络游戏,拥有非常多的玩家,当然它对显卡的要求也是比较高的。GeForce 6200A在《魔兽世界》中的表现非常让人满意,即便是在1280×1024的高分辨率下,也可以在人物较多的城市里达到30fps的游戏速度,这样的游戏速度已经可以流畅地进行游戏了,也就是说,GeForce 6200A完全可以让你流畅地玩《魔兽世界》。另外,对于《天堂2》这样的3D网络游戏,GeForce 6200A更是可以应付自如了。
参测产品一览
Chaintech承启 GeForce 6200A
核心/显存频率(下同):385MHz/550MHz
极限频率(核心/显存,下同):430MHz/580MHz
3DMark03极限得分:3032分

这款承启GeForce 6200A的PCB严格按照NVIDIA P362公版规格进行设计,不过在显存方面,采用了更高规格的现代3.6ns颗粒,因此承启GeForce 6200A的默认显存频率达到了550MHz,高出标准频率50MHz。承启GeForce 6200A核心频率也设置得比标准版要高,达到了385MHz,超过标准版35MHz。
承启GeForce 6200A采用了大型的FX FLOW型散热器,散热片采用优质铝材制造,同时也兼顾了两颗显存的散热,实际使用中散热效果不错。
由于默认频率很高,承启GeForce 6200A在性能测试中的成绩自然要高于标准频率下的产品,这个差距大约在12%左右。当然,也正是因为默认频率已经很高,承启GeForce 6200A的超频幅度就不太大了。它的极限频率为430MHz/580MHz,达到了GeForce 6200A超频的正常水平,超频后整体性能大约有7%的提升。

总的来说,承启GeForce 6200A是一款整体性能不错的GeForce 6200A显卡,你即使是不超频也可以获得高于普通版GeForce 6200A显卡的性能。
Colorful七彩虹 天行6200A 冰封骑士
核心/显存频率:350MHz/500MHz
极限频率:430MHz/560MHz
3DMark03极限得分:2950分

作为七彩虹冰封骑士系列的产品,天行6200A也采用了热管散热系统,因此它也是一款静音型的显卡产品。冰封骑士采用的单热管系统配备的散热片面积相当大,这样可以提供更大的散热面积,让GPU更加凉爽。另外,PCB板上也预留了风扇电源接口,用户可以再自行加装风扇以提高散热效率。
天行6200A也采用了P362公版设计,额定频率严格按照公版规格设定。天行6200A配备的是三星的4ns显存,额定频率为500MHz,核心频率则为标准的350MHz。经过我们的测试,天行6200A可以稳定运行在430MHz/560MHz的水平下,超频后的性能提升幅度大约为15%。

七彩虹天行6200A 冰封骑士的最大特色就是采用静音散热方案,同时按照公版设计,因此在整体性能和品质上都是值得信赖的。
Galaxy影驰 6200A增强版
核心/显存频率:350MHz/500MHz
极限频率:410MHz/580MHz
3DMark03极限得分:2978分

影驰 6200A增强版采用非公版方案,增加了许多特别的设计。首先是采用了热管散热系统,散热片的面积相当大,保证了良好的散热系统;其次,它还采用了蜂鸣器报警装置,在GPU工作温度超过安全范围的时候,蜂鸣器就会响起,提醒用户及时改善机箱的散热条件;影驰 6200A增强版同时也支持HDTV高清输出,因此它还配备了一条色差信号线,想用电脑直接与HDTV连接欣赏高清电视的话,这个功能是必不可少的。
影驰 6200A增强版采用了三星4ns显存,核心/显存频率为350MHz/500MHz,达到了GeForce 6200A的标准频率。极限频率为410MHz/580MHz,超频后性能提升大约为16%。
另外,值得一提的是,影驰 6200A增强版还附送了一本“超频秘笈”的技术手册,里面详细介绍了如何优化NVIDIA显卡、如何让NVIDIA显卡在游戏中发挥最好的效果等实用技巧,值得游戏玩家和DIY玩家收藏。
如果需要用电脑连接HDTV欣赏高清电视的话,那影驰 6200A增强版是个不错的选择。

GIGABYTE技嘉 GV-N62AV2D
核心/显存频率:350MHz/500MHz
极限频率:430MHz/560MHz
3DMark03极限得分:2954分

技嘉GV-N62AV2D采用非公版设计,这款来自同德的非公版方案的PCB的面积相对其它非公版产品要大一些,大量使用了贴片式铝壳电容,做工方面还算不错。技嘉GV-N62AV2D的显存是英飞凌的4ns颗粒,默认频率500MHz。
技嘉GV-N62AV2D采用静音设计,配备的散热片做工比较精致,只是面积较小,长期满负荷工作的话工作温度略微偏高,不过技嘉GV-N62AV2D也预留了风扇电源接口,只要自己再加装一个风扇,散热效果就大大改善了。

超频方面,技嘉GV-N62AV2D可以达到430MHz/560MHz的极限频率,超频后的性能提升大约为15%,虽然技嘉GV-N62AV2D并无特别闪亮的特点,但凭借其成熟的设计和不错的做工,再加上品牌的保证,它也算得上一款可靠的产品。
Jetway捷波 魔力6200A白金版
核心/显存频率:350MHz/500MHz
极限频率:440/560MHz
3DMark03极限得分:2998

魔力6200A白金版采用P362公版设计,整体做工精细,焊点饱满、干净,元件排列整齐,还大量采用了铝壳贴片电容,看上去很有大厂的风范。
魔力6200A白金版的显存是英飞凌的4ns颗粒,默认频率为500MHz,极限频率可以达到560MHz,核心频率为350MHz,极限频率可以达到440MHz。超频后性能提升比较明显,达到了17%。

可以说在做工方面,魔力6200A白金版是相当不错的,整体性能方面表现也比较好。要知道市面上部分名牌的GeForce 6200A显卡都是捷波做的OEM产品,因此在设计方面,魔力6200A白金版是值得信赖的。依靠出色品质和品牌的优势,魔力6200A白金版有不错的竞争力。
MAXSUN铭瑄 极光6200A
核心/显存频率:350MHz/500MHz
极限频率:370MHz/570MHz
3DMark03极限得分:2844分

采用非公版设计的极光6200A全部使用了铝壳贴片电容,滤波部分的电路元件齐全,保证了输出信号的纯净,同时配备了大面积的散热片以及风扇,保证GPU工作温度能保持在安全范围内。
极光6200A采用了三星4ns的DDR显存,默认频率500MHz,经过测试,可以稳定工作在570MHz的水平下,表现还算可以,只是核心频率只能达到370MHz,超频能力相比之下就显得一般了。超频后性能提升幅度还是比较明显,达到了11%。

同时,极光6200A也是《反恐精英:零点行动》的指定显卡,对这款游戏有兴趣的朋友可以考虑。
MEDIAMAX丽源 MA6221A
核心/显存频率:350MHz/500MHz
极限频率:410/540MHz
3DMark03极限得分:2830

采用非公版设计的丽源MA6221A整体做工还算不错,大量使用了铝壳电容,而且在低通滤波部分用料相当充足,保证了良好的2D输出质量,另外,它采用了大面积的散热片搭配主动散热风扇,提供给GPU良好的散热条件,同时也兼顾了两颗显存的散热。
丽源MA6221A采用的显存是三星的4ns颗粒,默认频率500MHz,超频后可以稳定工作在540MHz下,核心则可以达到410MHz,整体表现达到平均水平。超频后性能有一定程度的提升。中规中矩的丽源MA6221A表现比较平均,但稳定性方面是值得信赖的。

ONDA昂达 闪电6200A超值版
核心/显存频率:350MHz/500MHz
极限频率:410MHz/610MHz
3DMark03极限得分:3067分

昂达闪电6200A超值版也是采用了非公版的设计,整体元件的布局和其他几家采用非公版的参测产品相同,只是供电部分略有改动。做工方面,昂达闪电6200A超值版也是大量采用了铝壳直立电容,低通部分的用料也非常充足。
散热器方面,昂达闪电6200A超值版采用了涡轮式的风扇,这种发散式的鳍片设计有利于热空气向四周排放,散热效果自然不俗。昂达闪电6200A超值版在超频方面表现不错,核心可以达到410MHz,而显存可以达到比较夸张的610MHz,这对于4ns的三星颗粒来说是相当优秀了。超频后,昂达闪电6200A超值版的3DMark03得分突破了3000分大关,性能提升幅度达到19%。

昂达闪电6200A超值版的超频性能相当不错,将它定位为超值版是毫不为过的。
Sparkle旌宇 SPAG44
核心/显存频率:350MHz/700MHz
极限频率:410MHz/870MHz
3DMark03极限得分:3567分

旌宇SPAG44的PCB设计在公版上进行了修改,使之能够支持GDDR3的显存,采用GDDR3显存的好处就是能够让显存频率达到很高的水平。这款旌宇SPAG44采用的GDDR3显存是三星的2ns颗粒,默认频率高达700MHz,极限频率可以达到870MHz,虽然离2ns显存的标准频率1GHz还有一定距离,但对于GeForce 6200A来说已经相当高了。超频后,旌宇SPAG44的性能提升幅度达到21%

另外,旌宇SPAG44的整体做工也算不错,供电部分采用了三洋的电容,保证供电的稳定性。虽然旌宇SPAG44只配备了散热片对GPU进行散热,但也预留了风扇的电源插座,用户可以自己添加风扇以备超频使用。旌宇SPAG44还附送了专用的超频软件,用户可以很方便地调节显卡核心/显存频率。
总体上来说,配备了GDDR3高速显存的旌宇SPAG44是一款性能相当不错的GeForce 6200A显卡。
Unika双敏 速配6216冰翼版
核心/显存频率:350MHz/500MHz
极限频率:430MHz/540MHz
3DMark03极限得分:2872分

速配6216冰翼版最大的特色就是采用了热管散热系统,这也是“冰翼版”名字的由来。采用热管散热系统的好处就是彻底避免了主动散热系统的风扇带来的噪音,另一方面,散热效果也强于只使用散热片的系统。
速配6216冰翼版的PCB板设计也来自同德,这款非公版的PCB设计被不少显卡厂商使用,其可靠性和成熟度也是值得信赖的。速配6216冰翼版采用了英飞凌4ns的显存颗粒,默认频率500MHz,可以超频到540MHz使用,核心则可以超频到430MHz,超频后整体性能提升了12%。
静音、高效率的散热系统是速配6216冰翼版最大的特色,在这方面比较在意的用户可以考虑它。

XFX讯景 T44A-RAP
核心/显存频率:400MHz/800MHz
极限频率:410MHz/880MHz
3DMark03极限得分:3530分

采用三星2ns GDDR3显存的讯景T44A-RAP是一款配置很强悍的GeForce 6200A显卡。由于采用了XFX自己开发的PCB设计以及GDDR3显存,讯景T44A-RAP的默认频率就高达400MHz/800MHz,远远超过了标准版的350MHz/500MHz,因此默认频率下的性能也大大超过标准的GeForce 6200A。在超频后,3DMark03的得分甚至达到了3530分,性能相当强悍。
这款讯景T44A-RAP的做工也相当不错,供电部分大量采用三洋的电容,低通滤波部分没有空焊点,同时采用的散热器也是和NVIDIA公版GeForce 6200显卡相同的型号,散热效果不错,噪音也比较小。

如果需要一款性能特别强劲的GeForce 6200A显卡,那讯景T44A-RAP是个好选择。
Yeston盈通 剑龙G6043A
核心/显存频率:350MHz/500MHz
极限频率:400MHz/600MHz
3DMark03极限得分:3013

盈通 剑龙G6043A也是采用了常见的非公版设计,配备了4ns的三星显存,超频性能比较不错,核心/显存频率可以达到400/600MHz,相对标准版的350/500MHz有很大的提升,超频后性能提升幅度达到了17%。这样的超频能力在采用这个版本PCB设计的产品中算比较突出了。

做工方面,盈通 剑龙G6043A采用铝壳贴片电容,元件用料方面没有缩水,同时也配备了主动散热系统,盈通 剑龙G6043A的整体表现比较不错,是一款比较超值的产品。
我们的推荐
本次测试中,旌宇的SPAG44和讯景的T44A-RAP采用了高频的GDDR3显存,因此性能表现相当突出,在极限频率下,整体性能超过标准的GeForce 6200A 大约40%,3DMark03得分甚至突破了3500分大关。另外,它们的价格也比较合适,在价格相对标准版提升100元的情况下,能提供40%的性能提升,并且在本次测试中性能表现最好,因此《电脑报》数字实验室授予旌宇的SPAG44和讯景的T44A-RAP“编辑推荐奖”。
此外,昂达和盈通参测的GeForce 6200A显卡超频能力也相当不错,显存频率可以达到600MHz甚至更高,这在标准版的GeForce 6200A中是比较突出的,还有承启的GeForce 6200A,默认频率达到了385/550MHz,极限频率下的3DMark03得分也突破了3000,性能表现也十分不俗。这几款GeForce 6200A性能表现不错,价格也在平均水平上,算是比较超值的产品。


工程师点评
GeForce 6200A作为一款主流的中低端显卡,具备了GeForce 6系列显卡大部分的图像特效技术,在图像表现上要略胜只支持Shader Model2.0的Radeon 9550一筹,而在常规环境下的性能也要强过Radeon 9550。另外,GeForce 6200A的市场战略与当年Radeon 9550出道的时候相似:以性价比取胜。因此,这样一款主流显卡得到了众多厂商的支持,开发出了各具特色的显卡产品,而且价格方面只比Radeon 9550略贵,而且不久将降到和Radeon 9550相当,NVIDIA这一步棋让DirectX9中端显卡市场中的产品有了更丰富的选择,这对于主流用户来说,是非常具有吸引力的。
说到产品型号丰富,GeForce 6200A的确可以说是变化多端。除了公版设计外,还有各种各样的非公版设计,甚至其中还有支持GDDR3显存的非公版产品,要知道GeForce 6200A弱点就在于显存带宽,要是配备了高频率的GDDR3显存的话,就相当于大大地提升了显存带宽,显卡的整体性能将突飞猛进,这在我们的测试中也表现得很明显。
对于最终的用户来说,购买GeForce 6200A一方面可以获得比较出色的3D游戏性能,应付大部分主流的3D游戏,另一方面也可以获得出色的视频回放效果,特别是有部分GeForce 6200A显卡还附带了色差分量输出的功能,可以欣赏HDTV节目,这也是GeForce 6200A的一大卖点。
总的来说,GeForce 6200A的大量上市一方面给了主流用户更多的选择,NVIDIA的品牌效应也许会让GeForce 6200A从Radeon 9550的嘴里抢到更多的肉,成就新一代中端王者,不过ATi也不会闲着,支持DDRⅡ显存的Radeon 9550也已经上市,默认频率极高的Radeon 9550产品也层出不穷,GeForce 6200A这一仗不会轻松。不过我们至少看到在中低端主流市场中,NVIDIA终于有和Radeon 9550旗鼓相当的产品出现,越演越烈的显卡大战的结果是,消费者有了更多的选择、得到更多的实惠。
