自己打造动感音箱
PC·DIY
现在的多媒体音箱产品,不仅品牌型号众多,而且外观也绚丽多彩。笔者的音箱是一款普通的2.1音箱(一个低音炮和两个小卫星箱),外观没有任何特色。因此,我决定对它进行“美容”。
改造原理
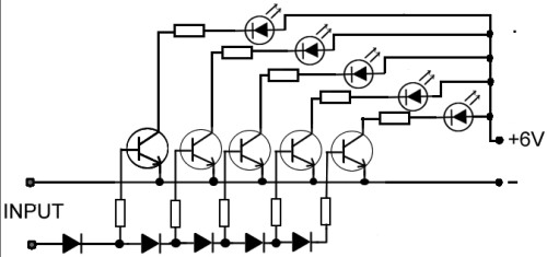
笔者最近翻看相关的书籍,找到了一个电路图(图1),该电路由分立元件组成,其主要功能是利用发光二极管(LED)来指示音量的强弱。电路中使用了几个二极管和三极管,在每个二极管上会产生0.7V的压降,当有音频信号输出时,经过二极管的整流滤波,其电压被送往第一个三极管的基极,三极管具有开关性能,当基极电压大于0.7V时,三极管导通,第一个LED点亮,随着音频输出电压的增高,加在二极管上的电压也在增高,每增加0.7V就会使一个三极管导通,从而点亮相应的LED。当音频电压不断变化时,三极管就会根据输出电压的改变而导通或截止,从而可以控制LED的点亮和熄灭。

准备工具和材料
根据电路图可知,该电路是单声道五段显示设计方案,如果要显示立体声音频,需要再制作一块电路板。为简单起见,笔者只制作了一块电路板,在每个三极管的输出端连接了两个LED,“伪造”了一个立体声音频指示灯。
整个电路比较简单,元件也容易购买。三极管可以用普通的9015型,发光二极管用直径5mm的绿光LED,这种LED触发电压低。整流二极管用普通的玻封二极管就行了,连接发光二极管的电阻为100Ω左右,连接三极管的电阻选择2000Ω左右的(图2)。为了便于连接,还需要一小块实验电路板、细导线、万用表、电烙铁、焊锡丝、热熔胶和小刀等常用工具和材料。整个制作的成本极低,几元钱就可以搞定了。

改造过程
步骤1:多媒体有源音箱的电路部分一般都是集成在低音炮内,在低音炮面板的三个调音旋钮上方,指示灯的两边各有三个凹进去的圆点(起装饰作用),正好可以用于安装LED。电路图中需要使用五个LED,而音箱面板上只有三个,但这三个孔间距较大,可以在中间再打上两个孔。巧的是,我的这款音箱正好可以安装五个LED,当然,不同的音箱有不同的结构,必须采用不同的改造方法。低音炮的面板是塑料的,可以用电烙铁加热烫孔,再用小刀修整一下。如果有条件的话,可以用5mm(LED的直径为5mm)的钻头钻孔,这样钻出来的孔要好看些(图3)。

步骤2:取一块实验电路板,板上有许多小孔,将所需的元件插在电路板上,先上锡固定好,再根据电路图,用细导线将这些元件的引脚连起来。需要注意的是,焊接时速度要快,否则容易损坏电路板和元件。在焊接时还要注意二极管和三极管的极性,这些元件具有单向导电性,接反了可不会正常工作哦(图4)。电路板上还要焊上一些长一点的细导线,用于连接发光二极管。

步骤3:选择十个直径5mm的绿光二极管,将发光二极管塞入音箱面板上打好的孔内,用热熔胶固定好,发光二极管同样有单向导电性,在固定之前最好检查一下发光二极管的极性,使这几个发光二极管的正负极向着一个方向,以免焊反了。在音箱面板内找个合适的地方,将焊好元件的电路板也用热熔胶粘好(图5)。

步骤4:将电路板上的细导线与音箱面板上的绿光二极管连接起来,焊接时要注意发光二极管的正负极,不能接反。这款电路的工作电压设计为6V,但一般音箱内功放板的工作电压为12V,需要在电路中串接一个分压电阻,也可以由主机电源的+5V电压供电。再将电路板上的音频输入端用导线跨接在音箱内扬声器的两端。用万用表检查一下电路的连接情况,不能出现短路的故障。检测无误后通电试机,选择一首动态范围大点的摇滚音乐,伴随着音乐的节拍,LED应该能逐个点亮,看着不断变化的指示灯,是不是动感十足(图6)!

由于电路所用元件较少,只要连接正确,整个电路无须调试即可正常工作。怎么样?很酷吧!