Word的域和公式(42)
IT商界
上标和下标模板
名称:上标和下标模板
功能:输入上标和下标样式的公式
应用:
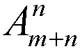
例1:同时输入上、下标(图1)
操作:①进入公式编辑状态。②按“公式”工具条上的“上标和下标模板”按钮,在随后弹出的下拉列表中,选择“上下标”样式。③将光标定在“上标”位置上,输入上标“n”,然后将光标定在“下标”位置上,输入下标“m+n”,再将光标定在上、下标字符前面,输入字符“A”。④退出公式编辑状态即可。
例2:输入如图2所示的化学反应方程式
操作:①进入公式编辑状态。②输入字符“2KClO”,按“公式”工具条上的“上标和下标模板”按钮,选择“下标”样式,输入字符“3”。③按“公式”工具条上的“上标和下标模板”按钮,选择“顶标和底标”样式,在“顶标”位置上,输入字符“MnO”及下标“2”,在“底标”位置上输入特殊符号“▲”,在中间位置上输入“==”。④在“顶标和底标”后面输入字符“2KCl+3O”及下标“2”和“↑”。⑤退出公式编辑状态。

