在Word中输入数学公式
软件世界
很多老师学生经常需要在计算机中输入各种数学公式,然而很多专业的符号在大家常用的Word文档里却没有办法输入,有时候还必须借助一些第三方软件来完成。其实Word 2000已经为我们提供的公式编辑器可以方便地生成各种公式,下面便将介绍如何利用公式编辑器建立和编辑公式。
1.公式的建立
选择菜单栏的“插入→对象”,弹出“对象”对话框,选择“新建”标签,在“对象类型”框中选择“Microsoft公式3.0”,点击“确定”关闭对话框。窗口中弹出“公式编辑器”工具栏(如(图1))。

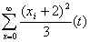
例如:在文档中插入公式S(t)=(图2),步骤如下:

(1)输入“S(t)=”,将光标移到“=”后。
(2)选择菜单栏的“插入→对象”,弹出“对象”对话框。在“对象类型”框中选择“Microsoft公式3.0”,点击“确定”,弹出“公式编辑器”工具栏。
(3)在“公式”工具栏单击(图3),在下拉符号栏中选择(图4),则在插入点后出现求和符号。


(4)插入点放入求和符号后的虚线公式框中,单击“公式”工具栏中的(图5),在下拉符号栏中选择(图6)。在分母位置输入“x”,单击“公式”栏中的(图7),在下拉符号栏中选择(图8),在下标位置输入“i”,光标定位在xi后,输入“+2)”,平方的设置如上,不再赘述;在分子的位置输入2。




(5)在“(图9)”后输入“(t)”。

(6)单击求和符号下边的虚线框,输入“x=0”。
(7)单击求和符号上边的虚线框,在“公式”工具栏上单击(图10)中的(图11)。


(8)公式输入完毕,单击文档任意位置,退出公式编辑器,返回文档窗口。
2.公式的编辑
如果对已建立的公式不满意,可重新编辑公式。用鼠标双击要修改的公式,则又进入了公式编辑状态,利用“公式”工具栏对公式进行进一步编辑工作。我们还可以利用公式编辑状态中提供的菜单栏对公式的“格式”和“样式”进行设置。在建立公式的过程中,我们可以对公式进行嵌套,完成一个复杂公式的建立。
提示:如果你的机器中没有“Microsoft公式3.0”,则需要用到Office安装盘。在安装过程中选择“添加或删除功能”,单击下一步,在“Office工具”中的“公式编辑器”上击左键,在弹出的菜单中选择“从本机运行”,即可安装“Microsoft公式3.0”。