2001年第30期
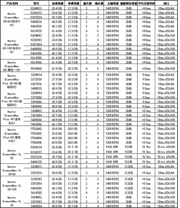
一、IBM公司((图1)) 图1 二、Seagate公司((图2)) 图2 三、Maxtor公司((图3)) 图3
完毕
software-archive.tifan.la
关于本站
电脑报档案