WPS Office一步一步排试卷
在学校里老师排试卷一直是很大问题,其中又尤以数学、化学、物理为最难。前几天,笔者有幸拿到了金山办公组合WPS Office最新版本,发现新版本的WPS Office的试卷制作效果非常好,而且非常容易,笔者根据自己的经验写了一些东西,给各位老师作参考。
#1 第一步:启动WPS Office主界面
WPS Office分为文字处理、电子表格、会议幻灯等6个套件,做试卷需要用文字处理的部分,还需直接调出图文符号库。在菜单“查看→工具栏→图文符号库”上点击后,出现√就可以了。
#1 第二步:设置试卷页面
WPS Office默认的纸张大小是A4纸,而我们常用的考试卷都是A3的纸,并且要横向放置,所以首先要设置页面。
在菜单“文件→页面设置”中选择“纸张类型”,并选定A3大小,并选择“横向”,然后在同一个界面下选择“版面”,在其中选定分栏数,并选定为分2栏。
#1 第三步:制作试卷
整体页面已经设置完成,这些都是比较简单的,而且是任何办公软件都可以做到的内容,下面我们进入WPS Office独一无二的地方。
#2 实例一:
WPS Office有专用的插入公式命令,并提供了多种公式单元集,因此在这里制作一个公式是比较轻松的。y=(3/4)x2+bx+c,这里是一个简单数学方程式, 我们可以通过对这个方程的制作了解在WPS Office中进行公式编辑的大概步骤。
#2 实战步骤:
1.选择主菜单中的“插入→数学公式→一组数学公式”命令。
2.在公式编辑区的左边闪烁的光标处,输入字符“y=”。
3.因为“((图1))”是个一般分式,所以选择“插入→数学公式→分式、除式→一般分式”,光标在分子处闪烁,输入“3”,然后用鼠标或键盘把光标移动到分母处,输入“4”。

4.把光标移到分式后面位置,输入“x”。
5.后面的“x2”是上标式,所以选“插入→数学公式→上下标式”,在上标处填入“2”,然后把光标移动到后面,直接输入“+bx+c”。
6.左键单击公式以外编辑画面完成这个方程式编辑。
7.在命令中“一组数学公式”是用于定制一组作为整体使用的数学公式。而每个公式可以由多个公式单元组成。
#2 实例二:
我们一起来看看一个比较复杂的公式──矩阵的操作(图1)((图2)) 。

#2 实战步骤:
1.选择主菜单中的“插入→数学公式→一组数学公式”命令。
2.选择主菜单“插入→数学公式→矩阵式”命令,选择一种需要的矩阵,或在图文符号库中找到矩阵式对象集,选择需要的对象单元。在这里我们选择4×4式矩阵。
3.在矩阵内填入矩阵元素“l”,再插入下标。
4.继续填入其他元素。
5.将光标移动到整个矩阵后面,插入“=”号,再选择主菜单“插入→数学公式→求积式”命令,在等号后插入一个求积式。
6.将光标移到相应的位置,分别填入求积式的各元素。
7.左键单击公式以外编辑画面完成这个方程式编辑。
#2 步骤扩展:定制矩阵
除了上面的方法能插入矩阵外,如果需要插入的矩阵是较多行列或分块矩阵,你还可以采用下面提供的方法
1.选择主菜单“插入→数学公式→矩阵式→定制矩阵”命令,弹出定制矩阵对话框((图3)2)。

2.在“行数”和“列数”编辑框中选择或键入矩阵的行列数。
3.在“行对齐”和“列对齐”选项中选择对齐方式。
4.在“边框线型”中选择你所需要的线型。
5.在左上角的预览框中会显示相应的行列数,在各项之间单击可以添加分隔线,用于矩阵分块,再单击可以取消分隔线。
6.选择“确定”完成设置。
在完成矩阵的定制后,仍然可以单击鼠标右键,从快捷菜单中选择“对象属性”回到定制矩阵对话框中修改矩阵,但此时不能再改变行列数。
#2 实例三:
我们这里开始学习化学公式的制作。图3((图4))是一个有机化学反应式,要注意的是化学公式单元的选用和插入顺序。

#2 实战步骤:
1.选择主菜单中的“插入→化学公式→一组化学反应式”命令;当前位置出现一个空的化学反应式。
2.输入CHCl2,按回车换行。
3.打开图文符号库,在化学类中选择“化学键号”对象集,插入“|”,按回车换行。
4.选择图文符号库“数学公式类”中“层叠式”对象集,选择中下两层层叠式。
5.将光标移到中层,从“环状简写式”中选一个合适的六角环插入。
6.将光标移到下层,键入“笨二氯甲烷”。
7.继续移动光标到该单元后,输入“+H2O”。
8.选图文符号库“化学类”中“反应符号”对象集,选择合适的反应符号,在反应符号上面输入“H+”。
9.移动光标到合适的位置,仿照步骤2~6输入苯甲酸的分子式;必要时使用空格后移字符以保证键号和苯环对齐。
10.输入后面的“+2HCl”,完成公式操作。
#2 实例四:
(图5)4是一个物理公式,它的操作同数学公式差不多,要特别注意的是上下标和分式的应用。

#2 实战步骤:
1.选择主菜单中的“插入→数学公式→一组数学公式”命令。
2.在公式编辑区的左边闪烁的光标处,输入字符“P”。
3.选“插入→数学公式→上下标式”,在下标处填入“c”,把光标移到分式后面位置,输入“=”。
4.因为“((图6))”是一般分式,所以选择“插入→数学公式→分式、除式→一般分式”,光标在分子处闪烁,输入“1”,然后用鼠标或键盘把光标移动到分母处,输入“π”。

5.把光标移到分式后面位置,选择图文符号库中数学类的“运算符”,插入点乘“·”号。
6.按照步骤4方法插入分式,按照步骤2和3插入分子“Vcc”。
7.移动光标,使它包含“((图7))”,进行复制操作。

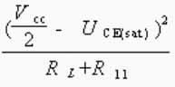
8.移动光标到插入状态,插入点乘符号,插入分式,在分子上粘贴刚才复制的单元,按照步骤2和3,继续输入“-UCE (sat)”,并在分母上输入“RL + R11”。
9.移动光标,使它包含“((图8))”,进行复制 操作。

10.移动光标到插入状态,插入“-”号,插入“((图9))”,粘贴刚才复制的“((图10))”单元,按照上面介绍的方法插入括号“( )”和上标“2”,将单元修改成“((图11))”。



11.左键单击公式以外编辑画面完成这个方程式编辑。
通过以上几个实例教学,相信大多数朋友都可以用WPS Office排大部分物、理、化试卷,但是如果遇到有图形的试题怎么办?比如数学中的几何,化学中的试验题。
#1 第四步:制作有图形的试题
#2 实战1:几何图形的制作
(图12)5所示为一个半圆中有一个直角三角形。

首先打开“查看→工具栏→图形工具”,然后点击椭圆,按住“Shift”键在页面上画出一个正圆。
在正圆上单击鼠标右键,然后选择“弧风格”,设定“始角”为0,幅度为180度,这样一个半圆就出来了((图13)6)。

同样在半圆上画出不同的线,组成一个直角三角形──提醒一下,和圆相关有很多定理,要仔细看看,就会发现画直角三角形原来是件很容易的事情。
图5的A、B、C等文字是用单行文字做出来的。
#2 实战2:化学公式的制作
#2 化学公式其实更加简单。
既然是试卷排版,这算是给大家留的一道考试题──怎么样做出如(图14)7所示的试验图。其实这道题很容易,而且完成该题的读者中有5名将可能得到一套正版的WPS Office的奖励哟!
