主流CPU超频编号
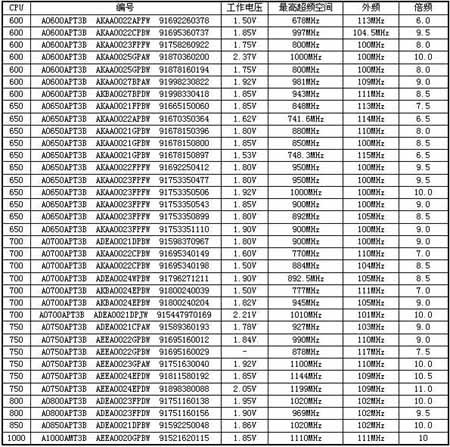
众所周知,对CPU超频就是通过提高CPU标称的工作频率,使CPU工作在更高的频率下,从而获得更高的性价比。由于现在大多数CPU的倍频都已锁定,所以CPU的超频主要是通过提高外频或增加工作电压来实现。其中采用后者时大家要注意,千万别加得太多,一般不要超过CPU标称工作电压的10%,因为CPU核心电压的提高会直接增大耗电量,造成核心逻辑电路产生大量的热量,从而引发“电子迁移”现象,造成CPU寿命缩短,甚至烧毁CPU。为此,我们在对CPU超频的同时,也要做好散热工作。为了让大家对CPU的超频能力有所了解,笔者特地收集一些目前市场上可超频的主流CPU编号及其它相关数据,供大家参考。((图1)和(图2))


((图3)和(图4))

